Frank ICSE Solutions for Class 9 Maths Factorisation Ex 5.1
Download Formulae Handbook For ICSE Class 9 and 10
Frank ICSE Solutions for Class 9 Maths Chapter 5 Factorisation Ex 5.1
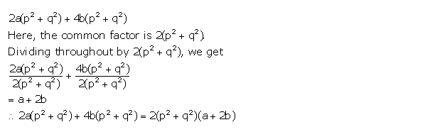
Answer 1A.

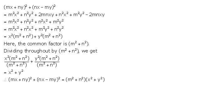
Answer 1B.

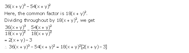
Answer 1C.

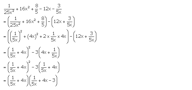
Answer 1D.

Answer 1E.

Answer 1F.

Answer 1G.

Answer 1H.

Answer 1I.

Answer 1J.

Answer 1K.

Answer 2A.

Answer 2B.

Answer 2C.

Answer 2D.

Answer 2E.

Answer 2F.

Answer 2H.

Answer 2I.

Answer 2J.

Answer 2K.

Answer 2L.

Answer 2M.

Answer 2N.

Answer 2O.

Answer 2P.

Answer 2Q.

Answer 2R.
