Frank ICSE Solutions for Class 9 Maths Expansions Ex 4.2
Download Formulae Handbook For ICSE Class 9 and 10
Frank ICSE Solutions for Class 9 Maths Chapter 4 Expansions Ex 4.2
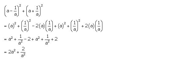
Answer 1.


Answer 2.

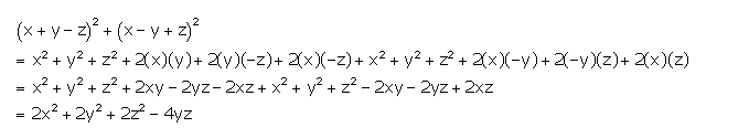
Answer 3.

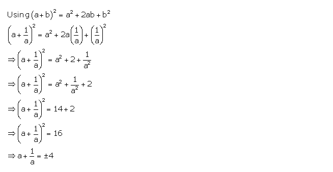
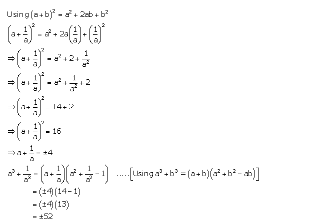
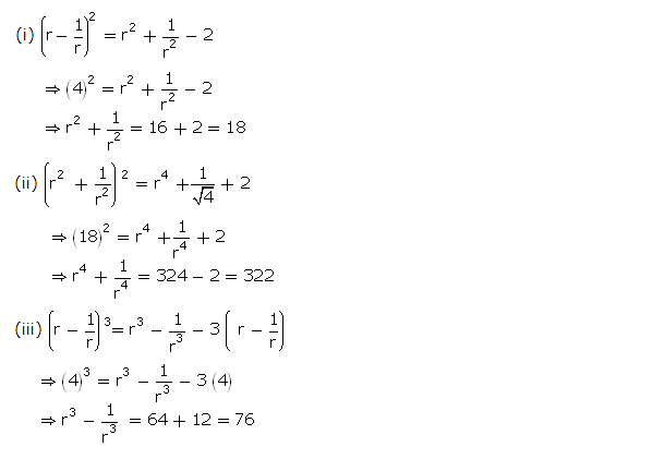
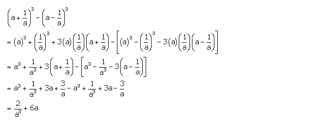
Answer 4.


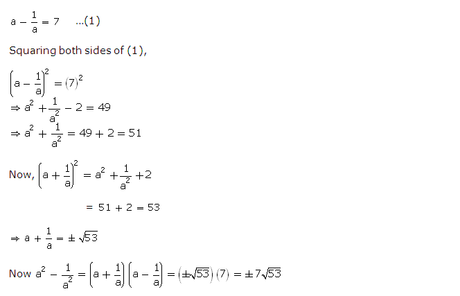
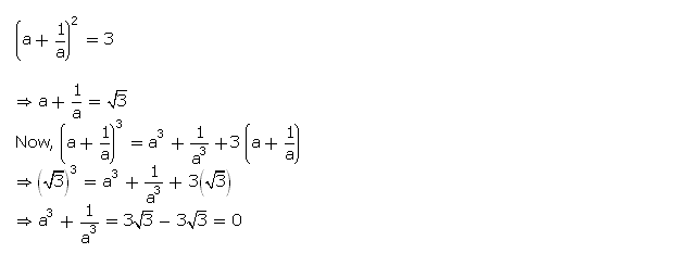
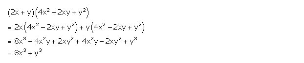
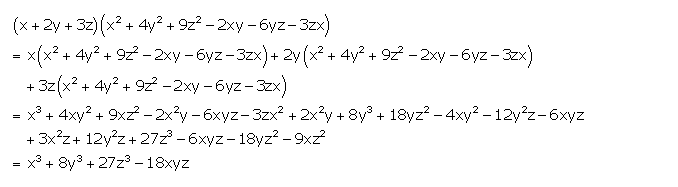
Answer 5.

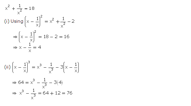
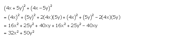
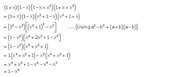
Answer 6A.

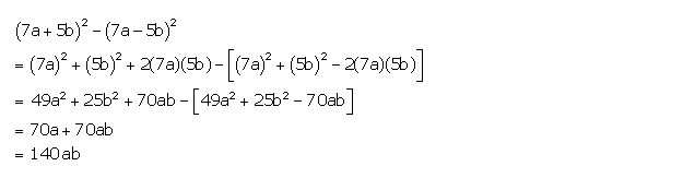
Answer 6B.

Answer 7.

Answer 8.

Answer 9.

Answer 10.

Answer 11.

Answer 12.

Answer 13.

Answer 14.

Answer 15.

Answer 16.

Answer 17.

Answer 18.

Answer 19.

Answer 20.

Answer 21.

Answer 22.

Answer 23.

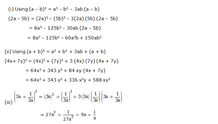
Answer 24A.

Answer 24B.

Answer 24C.

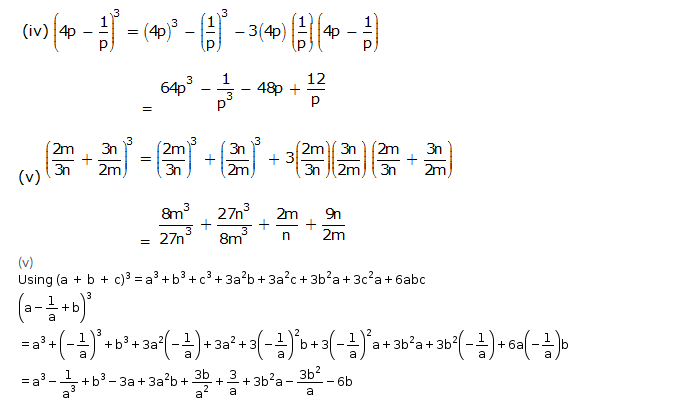
Answer 24D.

Answer 24E.

Answer 24F.

Answer 24G.

Answer 24H.

Answer 24I.

Answer 24J.

Answer 24K.

Answer 24L.

Answer 24M.

Answer 24N.

Answer 24O.

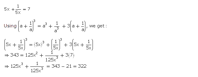
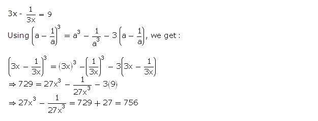
Answer 25.


