Frank ICSE Solutions for Class 10 Maths Equation of A Straight Line Ex 13.3
Download Formulae Handbook For ICSE Class 9 and 10
Frank ICSE Solutions for Class 10 Maths Equation of A Straight Line Ex 13.3
Answer 1.

Answer 2.

Answer 3.

Answer 4.

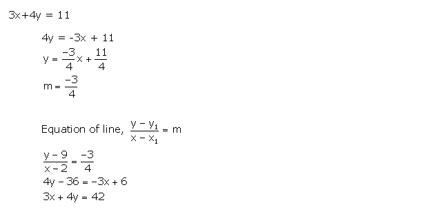
Answer 5.

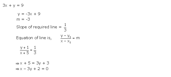
Answer 6.

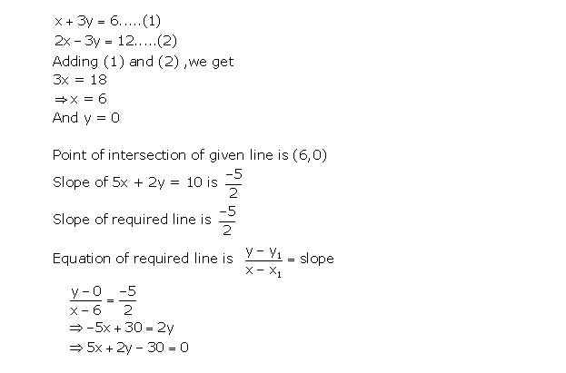
Answer 7.

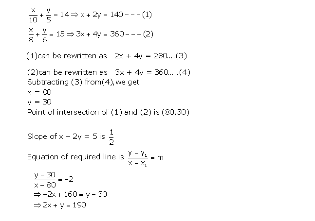
Answer 8.

Answer 9.

Answer 10.

Answer 11.

Answer 12.

Answer 13.

Answer 14.

Answer 15.

Answer 16.

Answer 17.

Answer 18.

Answer 20.

Answer 21.

Answer 22.

Answer 25.
