Frank ICSE Solutions for Class 10 Maths Distance and Section Formulae Ex 12.2
Download Formulae Handbook For ICSE Class 9 and 10
Frank ICSE Solutions for Class 10 Maths Distance and Section Formulae Ex 12.2
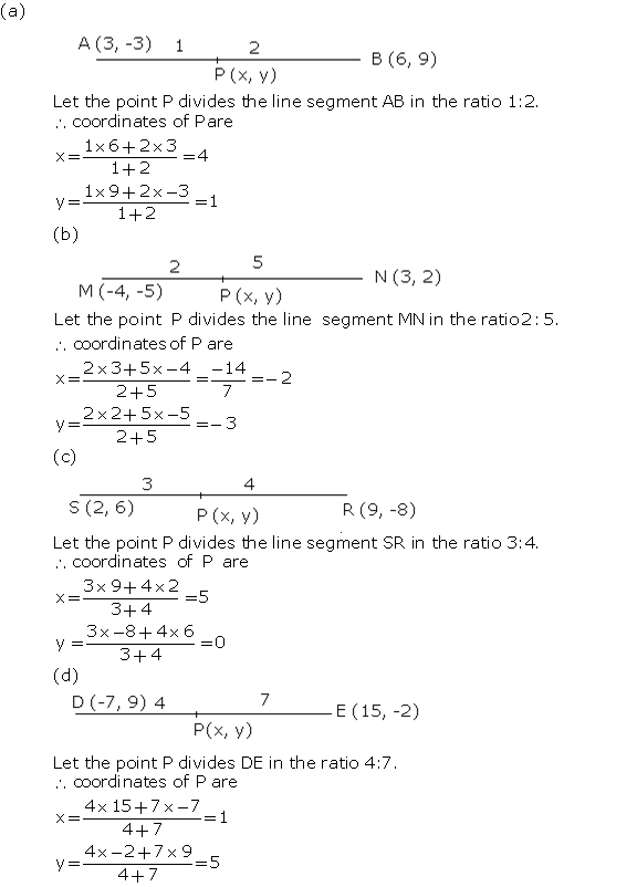
Answer 1.

Answer 2.

Answer 3.

Answer 4.

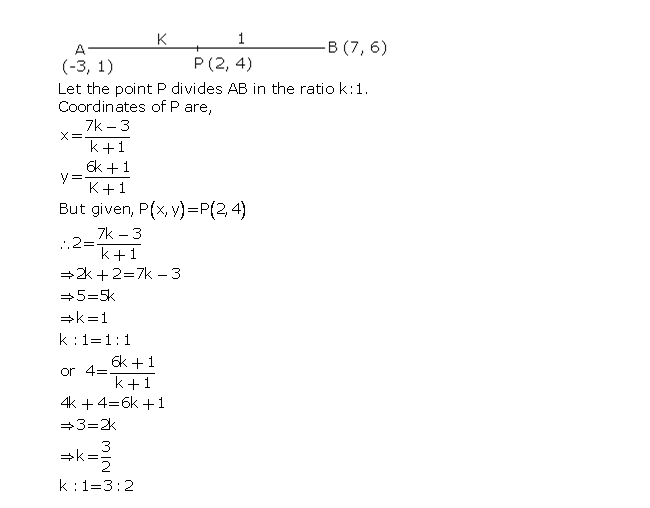
Answer 5.

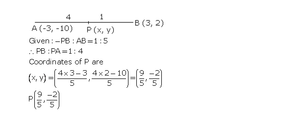
Answer 6.

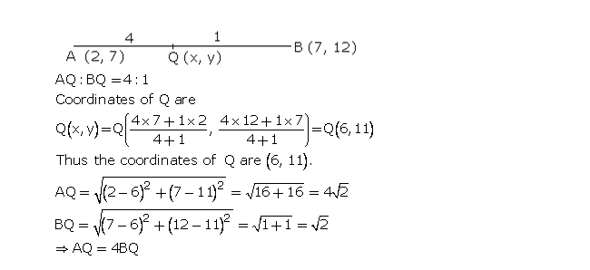
Answer 7.

Answer 8.

Answer 9.

Answer 10.

Answer 11.

Answer 12.

Answer 13.

Answer 14.

Answer 15.

Answer 16.

Answer 17.

Answer 18.

Answer 19.

Answer 20.

Answer 21.

Answer 22.

Answer 23.
