Frank ICSE Solutions for Class 10 Maths Distance and Section Formulae Ex 12.1
Download Formulae Handbook For ICSE Class 9 and 10
Frank ICSE Solutions for Class 10 Maths Distance and Section Formulae Ex 12.1
Answer 1.

Answer 2.

Answer 3.

Answer 4.

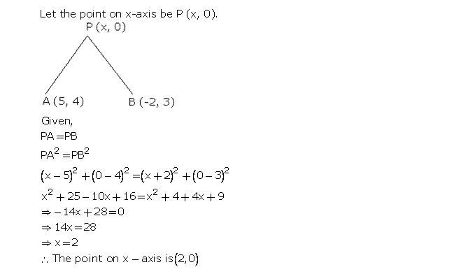
Answer 5.

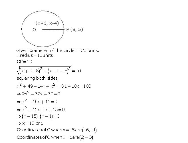
Answer 6.

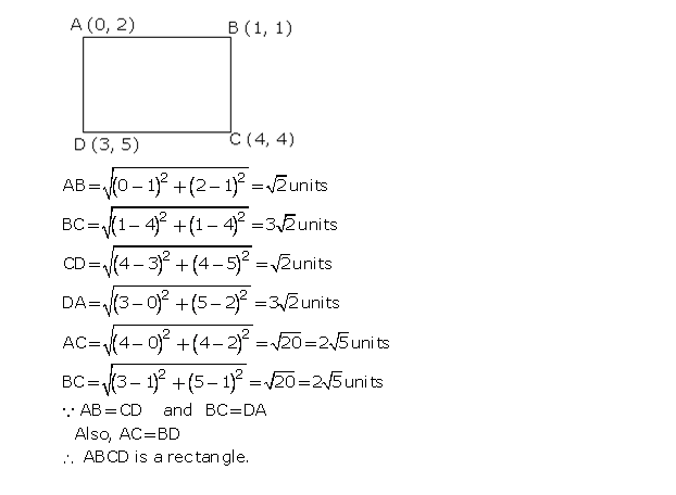
Answer 7.

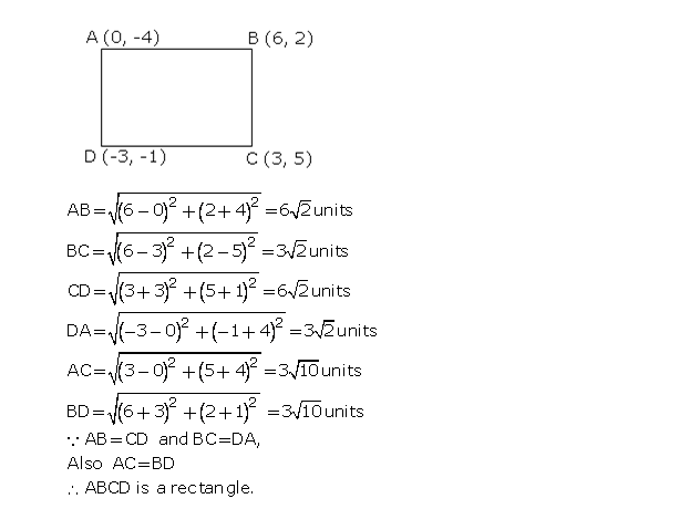
Answer 8.

Answer 9.

Answer 10.

Answer 11.

Answer 12.

Answer 13.

Answer 14.

Answer 15.

Answer 16.

Answer 17.

Answer 18.

Answer 19.

Answer 20.

Answer 21.

Answer 22.

Answer 23.

Answer 24.

Answer 25.

Answer 26.

Answer 27.

Answer 28.

Answer 29.

Answer 30.

Answer 31.

Answer 32.

Answer 33.

Answer 34.

Answer 35.

Answer 36.


Answer 37.
