Frank ICSE Solutions for Class 10 Maths Compound Interest Ex 1.6
Download Formulae Handbook For ICSE Class 9 and 10
Frank ICSE Solutions for Class 10 Maths Compound Interest Ex 1.6
Answer 1.

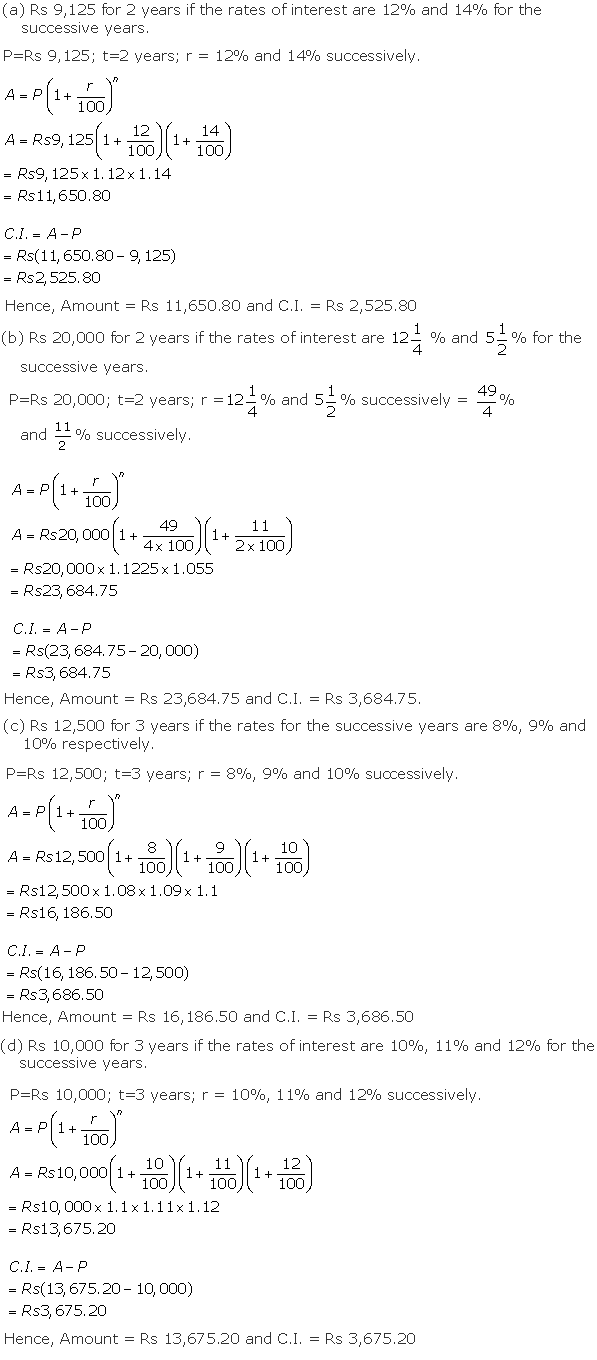
Answer 2.

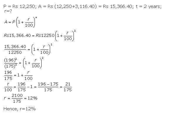
Answer 3.

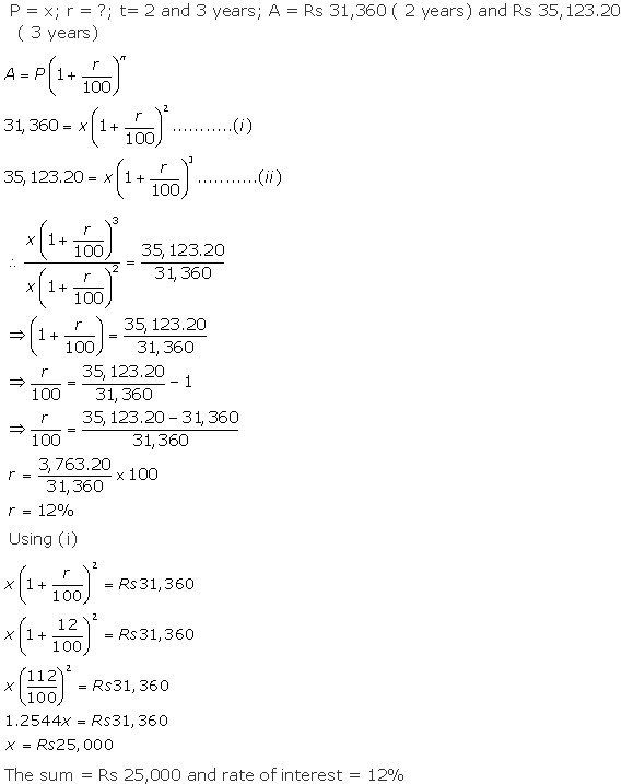
Answer 4.

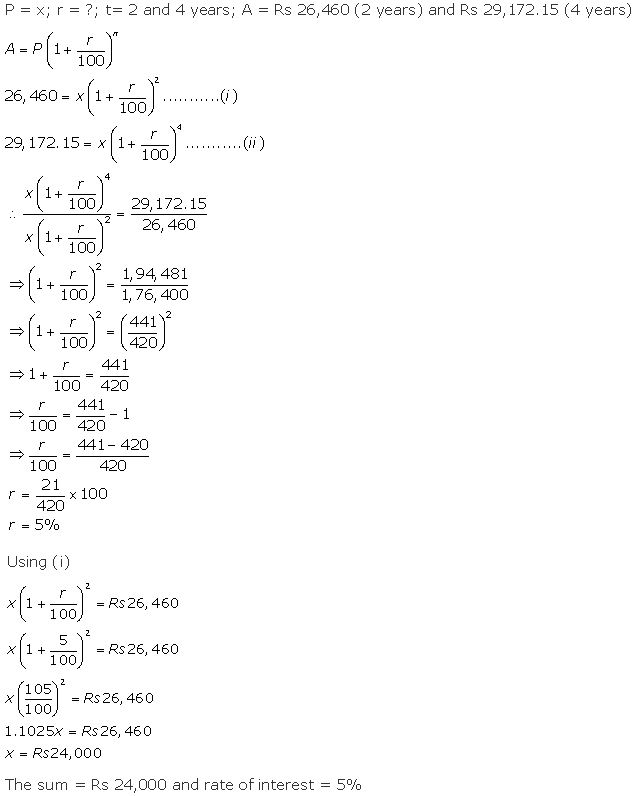
Answer 5.

Answer 6.

Answer 7.

Answer 8.

Answer 9.

Answer 10.

Answer 11.

Answer 12.

Answer 13.

Answer 14.

Answer 15.

Answer 16.

Answer 17.

Answer 18.

Answer 19.

Answer 20.

Answer 21.

Answer 22.

Answer 23.

Answer 24.

Answer 25.

Answer 26.
