Differentiable Function
Differentiability of a function at a point
The function, f(x) is differentiable at point P, iff there exists a unique tangent at point P. In other words, f(x) is differentiable at a point P iff the curve does not have P as a corner point. i.e., “the function is not differentiable at those points on which function has jumps (or holes) and sharp edges.”
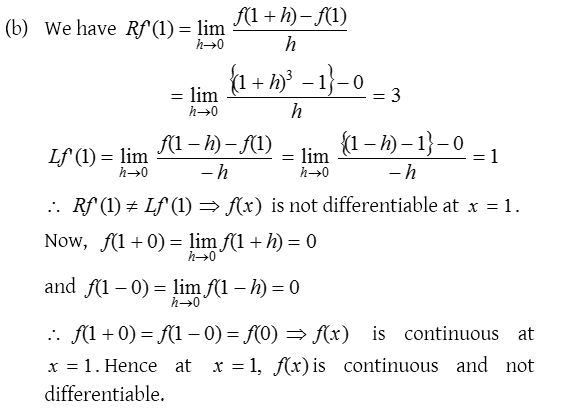
Let us consider the function f(x) = |x – 1|, which can be graphically shown below.

Which show f(x) is not differentiable at x = 1. Since, has sharp edge at x = 1.

Some standard results on differentiability
- Every polynomial function is differentiable at each x ∈ R.
- The exponential function ax, a > 0 is differentiable at each x ∈ R.
- Every constant function is differentiable at each x ∈ R.
- The logarithmic function is differentiable at each point in its domain.
- Trigonometric and inverse trigonometric functions are differentiable in their domains.
- The sum, difference, product and quotient of two differentiable functions is differentiable.
- The composition of differentiable function is a differentiable function.
Differentiable Function Problems with Solutions
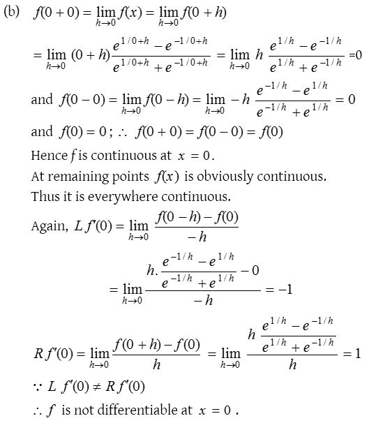
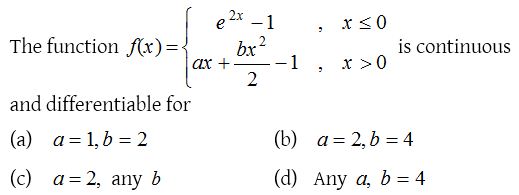
1.

Solution:

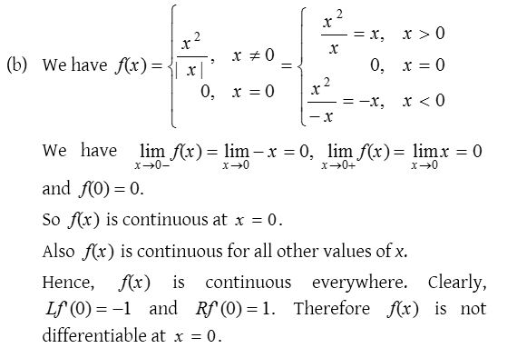
2.

Solution:

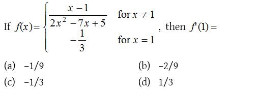
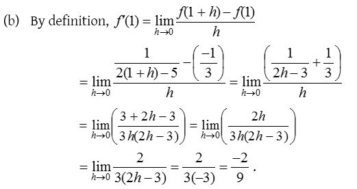
3.

Solution:

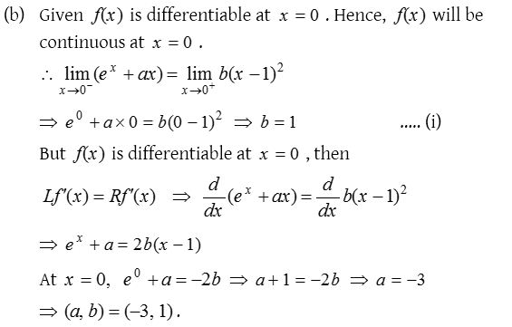
4.

Solution:

5.

Solution:

6.

Solution:

7.

Solution:

8.

Solution:

9.

Solution:

10.

Solution:
