Cross Product
Vector or Cross product
(1) Vector product of two vectors:
Let a, b be two non-zero, non-parallel vectors.
Then a × b = |a||b| sin θ \(\hat { n }\), and a × b = |a||b| sin θ where θ is the angle between a and b, \(\hat { n }\) is a unit vector perpendicular to the plane of a and b such that a, b, \(\hat { n }\) form a right-handed system.
(2) Properties of vector product
- Vector product is not commutative i.e., if and b are any two vectors, then a × b ≠ b × a , however, a × b = −(b × a)
- If a, b are two vectors and m, n are scalars, then ma × nb = mn(a × b) = m(a × nb) = n(ma × b).
- Distributivity of vector product over vector addition.
Let a, b, c be any three vectors. Then
(a) a × (b + c) = a × b + a × c (Left distrihutivity).
(b) (b + c) × a = b × a + c × a (Right distributivity). - For any three vectors a, b, c we have a×(b − c) = a×b − a×c.
- The vector product of two non-zero vectors is zero vector iff they are parallel (Collinear) i.e. a × b = 0 ⇔ a ∥ b, a, b are non-zero vectors.
It follows from the above property that a × a = 0 for every non-zero vector a, which in turn implies that i × i = j × j = k × k = 0. - Vector product of orthonormal triad of unit vectors i, j, k using the definition of the vector product, we obtain i × j = k, j × k = i, k × i = j, j × i = −k, k × j = −i, i × k = −j.
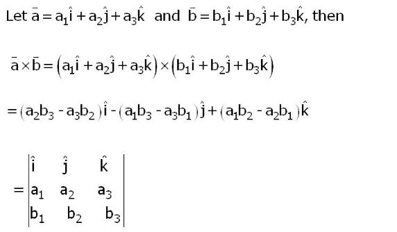
(3) Vector product in terms of components:
If a = a1i + a2j + a3k and b = b1i + b2j + b3k.

(4) Angle between two vectors:
If θ is the angle between a and b,

(5) (i) Right handed system of vectors:
Three mutually perpendicular vectors a, b, c form a right handed system of vector iff a × b = c, b × c = a, c × a = b.
Examples: The unit vectors i, j, k form a right-handed system, i × j = k, j × k = i, k × i = j.
(ii) Left handed system of vectors: The vectors a, b, c mutually perpendicular to one another form a left handed system of vector iff c × b = a, a × c = b, b × a = c.
(6) Vector normal to the plane of two given vectors:
If a, b be two non-zero, nonparallel vectors and let θ be the angle between them. a × b = |a||b| sin θ \(\hat { n }\) where \(\hat { n }\) is a unit vector perpendicular to the plane of a and b such that a, b, \(\hat { n }\) form a right-handed system.

(7) Area of parallelogram and triangle:
- The area of a parallelogram with adjacent sides a and b is |a × b|.
- The area of a parallelogram with diagonals d1 and d2 is \(\frac { 1 }{ 2 }\) |d1× d2|.
- The area of a plane quadrilateral ABCD is \(\frac { 1 }{ 2 } \left| \overrightarrow { AC } \times \overrightarrow { BD } \right|\), where AC and BD are its diagonals.
- The area of a triangle with adjacent sides a and b is \(\frac { 1 }{ 2 }\) |a × b|
- The area of a triangle ABC is \(\frac { 1 }{ 2 } \left| \overrightarrow { AB } \times \overrightarrow { AC } \right|\) or \(\frac { 1 }{ 2 } \left| \overrightarrow { BC } \times \overrightarrow { BA } \right|\) or \(\frac { 1 }{ 2 } \left| \overrightarrow { CB } \times \overrightarrow { CA } \right|\).
- If a, b, c are position vectors of ∆ABC vertices of a then its area = \(\frac { 1 }{ 2 }\) |(a × b) + (b × c) + (c × a)|
- Three points with position vectors a, b, c are collinear if (a × b) + (b × c) + (c × a) = 0..
(8) Moment of a force:
Moment of a force F about a point O is \(\overrightarrow { OP } \times F\), where P is any point on the line of action of the force F.
Vector triple product
Let a, b, c he any three vectors, then the vectors a × (b × c) and (a × b) × c are called vector triple product of a, b, c .
Thus, a ×(b × c) = (a. c) b — (a . b) c
Properties of vector triple product:
- The vector triple product a × (b × c) is a linear combination of those two vectors which are within brackets.
- The vector r = a ×(b × c) is perpendicular to a and lies in the plane of b and c.
- The formula a ×(b × c) = (a.c)b − (a.b)c is true only when the vector outside the bracket is on the left most side. If it is not, we first shift on left by using the properties of cross product and
then apply the same formula.
Thus, (b × c)× a = − {a ×(b × c)} = − {(a.c)b − (a.b)c} = (a.b)c − (a.c)b - Vector triple product is a vector quantity.
- a × (b × c) ≠ (a × b)× c.
Vector product of four vectors
- (a × b ) × (c × d) is a vector product of four vectors.
It is the cross product of the vectors a × b and c × d. - a×{b ×(c ×d)}, {(a×b)×c}×d are also different products of four vectors a, b, c and d.