CBSE Sample Papers for Class 12 Physics Paper 7 are part of CBSE Sample Papers for Class 12 Physics. Here we have given CBSE Sample Papers for Class 12 Physics Paper 7.
CBSE Sample Papers for Class 12 Physics Paper 7
| Board | CBSE |
| Class | XII |
| Subject | Physics |
| Sample Paper Set | Paper 7 |
| Category | CBSE Sample Papers |
Students who are going to appear for CBSE Class 12 Examinations are advised to practice the CBSE sample papers given here which is designed as per the latest Syllabus and marking scheme as prescribed by the CBSE is given here. Paper 7 of Solved CBSE Sample Paper for Class 12 Physics is given below with free PDF download solutions.
Time Allowed : 3 Hours
Max. Marks : 70
- All questions are compulsory. There are 26 questions in all.
- This question paper has five sections: Section A, Section B, Section C, Section D and Section E.
- Section A contains five questions of 1 mark each. Section B contains five questions of 2 marks each. Section C contains twelve questions of 3 marks each. Section D contains one value based question of 4 marks and Section E contains three questions of 5 marks each.
- There is no overall choice. However, an internal choice has been provided in 1 question of 2 marks, 1 question of 3 marks and all the 3 questions of 5 marks weightage. You have to attempt only 1 of the choices in such questions.
- You may use the following values of physical constants wherever necessary :


Questions
SECTION : A
Question 1.
Represent graphically the variation of electric field with distance, for a uniformly charged plane sheet.
Question 2.
Draw a graph to show a variation of resistance of a metal wire as a function of its diameter keeping its length and material constant.
Question 3.
A rod of length L, along East-West direction is dropped from a height H. If B be the magnetic field due to earth at that place and angle of dip is 0, then what is the magnitude of induced emf across two ends of the rod when the rod reaches the earth?
Question 4.
Two polaroids are placed with their optic axis perpendicular to each other. One of them is rotated through 45°, what is the intensity of light emerging from the second polaroid if I0 is the intensity of unpolarised light?
Question 5.
With the help of a block diagram, show the basic constituents of the communication system.
SECTION : B
Question 6.
Two wires A and B of the same material and having same length, have their cross sectional areas in the ratio 1:6. What would be the ratio of heat produced in these wires when same voltage is applied across each?
Question 7.
The focal length of a convex lens made of glass is 20 cm. What will be its new focal length when placed in a medium of refractive index 1.25?
OR
The following data was recorded for values of object distance and the corresponding values of image distance in the experiment on study of real image formation by a convex lens of power + 5 D. One of these observations is incorrect. Identify this observation and give reason for your choice.

Question 8.
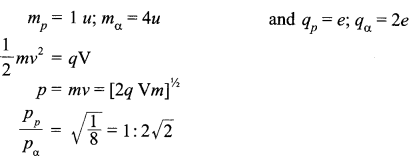
An α-particle and a proton are accelerated through the same potential difference. Calculate the ratio of linear momenta acquired by the two.
Question 9.
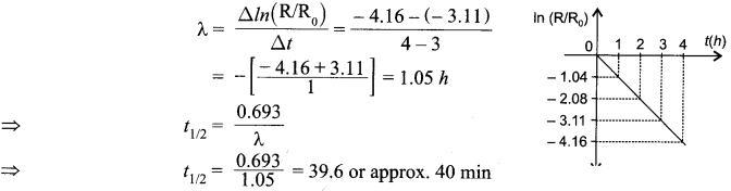
The activity R of an unknown nuclide is measured at hourly intervals. The results found are tabulated as follows :

- Plot the graph of R versus t and calculate half life from the graph.
- Plot the graph of In (R/R0) versus t and obtain the value of half life from the graph.
Question 10.
Distinguish between any two types of propagation of electromagnetic waves based on (a frequency range over which they are applicable and b) communication systems in which they are used.
SECTION : C
Question 11.
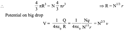
If N drops of same size each having the same charge, coalesce to form a bigger drop. How will the following vary with respect to single small drop?
- Total charge on bigger drop
- Potential on the bigger drop
Question 12.

In the given circuit, a meter bridge is shown in the balanced state. The meter bridge wire has a resistance of 1 Ω cm-1. Calculate the unknown resistance X and the current drawn from the battery of a negligible internal resistance if the magnitude of Y is 6 Ω. If at the balancing point, we interchange the position of galvanometer and the cell, how it will affect the position of the galvanometer?
OR
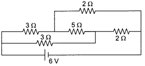
Calculate the current drawn from the battery in the given network shown here. State Kirchhoff’s loop law and name the law on which it is based on.
Question 13.

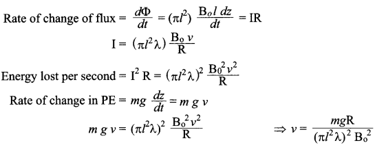
A metallic ring of mass m and radius l is falling under gravity in a region having a magnetic field. If z is the vertical direction, the z-component of magnetic field is Bz = B0 (1 + Az). If R is the resistance of the ring and if the ring falls with a velocity v, find the energy lost in the resistance. If the ring has reached a constant velocity, use the conservation of energy to determine v in terms of m, B, A and acceleration due to gravity g.
Question 14.
- Consider two different hydrogen atoms. The electron in each atom is in an excited state. Is it possible for the electrons to have different energies but same orbital angular momentum according to the Bohr model? Justify your answer.
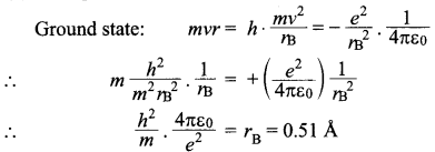
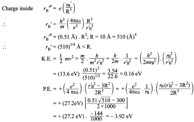
- If a proton had a radius R and the charge was uniformly distributed, calculate using Bohr theory, the ground state energy of a H – atom when R = 10 Å.
Question 15.
Describe the concept used for the selection of velocity of a charged particle. Explain the principle of the device with the help of a diagram where the same concept is used. What is the resonating condition for the said device?
Question 16.
Consider a two slit interference arrangements such that the distance of the screen from the slits is half the distance between the slits.

Obtain the value of D in terms of A, such that the first minima on the screen falls at a distance D from the centre O.
Question 17.
Draw a labelled ray diagram of an astronomical telescope in the normal adjustment position and find the magnitudes of
- The length of the telescope
- The magnification of the telescope
if the focal length of the objective lens is 15 m and the focal length of an eye lens is 5 cm.
Question 18.
Radiation of frequency 1015 Hz is incident on three photo sensitive surfaces A, B and C. Following observations are recorded:
- no photoemission occurs
- photoemission occurs but the photoelectrons have zero kinetic energy.
- photo emission occurs and photoelectrons have some kinetic energy.
Based on Einstein’s photo-electric equation, explain the three observations.
Question 19.
A proton and an alpha particle enter at right angles into a uniform magnetic field of intensity B. Calculate the radii of their paths when they enter the field with the same
- momentum and
- kinetic energy
Question 20.
Explain :
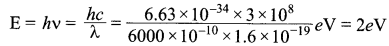
- Three photo diodes D1, D2 and D3 are made of semiconductors having band gaps of 2.5 eV, 2 eV and 3 eV respectively. Which one will be able to detect light of wavelength 6000 Å?
- Why an elemental semiconductor cannot be used to make visible LEDs?
Question 21.
In the circuit shown, when the input voltage of the base resistance is 10 V, VBE is zero and VCE is also zero, find the values of IB, Ic and β.

Question 22.
Explain with reason :
- In amplitude modulation, the modulation index p is kept less than or equal to 1.
- The maximum amplitude of an amplitude modulated wave is found to be 15 V while its minimum amplitude is found to be 3 V. What is the modulation index?
- Why amplitude modulated signal be noisier than a frequency modulated signal upon transmission through a channel?
SECTION : D
Question 23.
Muthuswami a resident of Kundakulam was all set to leave everything and shift to another place in view of the decision of Government to start nuclear thermal power plant at Kundakulam. His granddaughter Prachi, a science student was really upset on the ignorant decision of her grandfather. She could finally convince him not to shift, since adequate safety measures to avoid any nuclear mishap have already been taken by the Government before starting nuclear thermal power plants.
- What is the value displayed by Prachi in convincing her grandfather?
- What is the principle behind working of nuclear reactor?
- What are the main components of nuclear reactor?
- Why is heavy water used as moderator?
SECTION : E
Question 24.
Find the expression for the energy stored in the capacitor. Also find the energy lost when the charged capacitor is disconnected from the source and connected in parallel with the uncharged capacitor. Where does this loss of energy appear?
OR
(a) An electric dipole is held in uniform electric field.
- Using suitable diagram, show that it does not undergo any translatory motion.
- Give SI unit of torque and derive an expression for the torque acting on this dipole.
(b) A capacitor is made of a flat plate of area A and second plate having a stair like structure as shown in figure below. If width of each stair is A/3 and height is d. Find the capacitance of the arrangement.

Question 25.
- Derive the condition for the resonance to occur in LCR series circuit.
- In a series L-R circuit, L = 35 mH and R = 11 Ω , V = V0 sin cot of Vrms = 220 V and frequency 50 Hz are applied. Find the current amplitude in the circuit and phase of current with respect to voltage. Draw reactance-frequency graph.
OR
(a) An a.c. source generating a voltage V = V0 sin cot is connected to a capacitor of capacitance C. Find the expression for the current I flowing through it. Plot a graph of V and I versus cot to show that the current is π/2 ahead of the voltage.
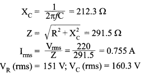
(b) A resistor of 200 Ω and a capacitor of 15 μF are connected in series to a 220 V, 50 Hz a.c. source. Calculate the current in the circuit and the rms voltage across the resistor and the capacitor. Why the algebraic sum of these voltages is more than the source voltage?
Question 26.
(a) For same value of angle of incidence, the angles of refraction in three media are 15°, 20° and 25° respectively. In which medium, the velocity of light will be minimum?
(b) Derive the relationship between angle of incidence, angle of prism and angle of minimum deviation for an equilateral prism.
OR
(a) State the conditions for total internal reflection to occur.
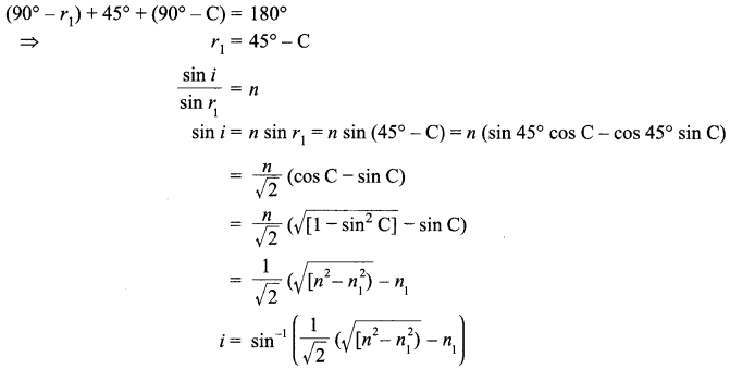
(b)Aright angled prism of refractive index n has a plate of refractive index n1 so that n1 < n, cemented to its diagonal face. The assembly is in air. A ray is incident on AB.
- Calculate the angle of incidence at AB for which the ray strikes the diagonal face at the critical angle.
- Assuming n = 1.352, calculate the angle of incidence at AB for which the refracted ray passes through the diagonal face undeviated.
Answers
SECTION : A
Answer 1.
It is independent of the distance. It is a straight line parallel to plane, perpendicular to the sheet.
Answer 2.

Answer 3.
![]()
Answer 4.
![]()
Answer 5.

SECTION : B
Answer 6.

Answer 7.

OR
P = + 5D f = 1/5 m = 20 cm
For 3rd observation, when the object is at < 2f then the image has to be at > 2f hence this observation is wrong.
Answer 8.

Answer 9.
(a)

(b) Slope of graph = – λ

Answer 10.
Any correct answer 1 mark each
SECTION : C
Answer 11.
(i) Q = ± N q
(ii) Let r, q and v be the radius, charge and potential of one small drop. The total charge on big drop = sum of all charge on N drops. Q=N q
The volume of N small drop = N x 4/3 πr3
The volume of big drop = 4/3 πR3

Answer 12.

4 Ω and 6 Ω are in series, = 10 Ω
40 Ω and 60 Ω are in series, = 100 Ω
10 Q and 100 Ω are in parallel, = 100/11 Ω = 9.09 Ω
There will be no change in the balancing length.
OR

Balanced Wheatstone bridge
Resultant resistance of the circuit = 5 Ω/ 2
![]()
State Kirchhoff’s loop law and it is based on conservation of energy.
Answer 13.

Answer 14.
(a) In absence of magnetic field, the energy is determined by the principle quantum number n, while the orbital quantum number is determined by azimuthal quantum number l. If an electron is in nth state then the magnitude of the angular momentum is (h/2π) l(l + 1) where l = 0, 1, 2,…………… , (n – 1), Since / = 0, 1, 2,…………… , (n – 1), different values of l are compatible with the same value of n. For example, when n = 3, the possible values of l are 0, 1,2, and when n = 4, the possible values of l are 0, 1, 2, 3. Thus, the electron in one of the atoms could have n = 3, l = 2, while the electron in the other atom could have n = 4, l = 2. Therefore, according to quantum mechanics, it is possible for the electrons to have different energies but have the same orbital angular momentum.
(b) For a point nucleus in H-atom :

If R > > rB : the electron moves inside the sphere with radius rB‘ (rB‘ = new Bohr radius).

Answer 15.
Magnetic force in charge q = centripetal force on charge q

Principle :
A charged particle can be accelerated to very high energies by making it pass through a moderate electric field time and again and this can be done with the help of magnetic field perpendicular to velocity. Electric field will accelerate and magnetic field will make it pass through same E.

E/B = v when E, v and B are perpendicular to each other. Cyclotron, E is perpendicular to B which is perpendicular to v. In presence of E parabolic path and in presence of B circular path. E and V are independent of radius of the path. When frequency of oscillator is same as frequency of cyclotron then resonance occurs.
Let va be the frequency of the applied alternating voltage and vc be the frequency of the charged particle. The requirement of va = vc is called Resonance condition.
Answer 16.

Answer 17.
L = length of the telescope =fo + fe =05 m
m = fo/ fe = 15/0.05 = 300
Answer 18.
- (a) Incident energy is less than the work function of the metal
- (b) Incident energy is equal to the work function of the metal
- (c) Incident energy is greater than the work function of the metal
Answer 19.

(a) For same momentum :
p = mv
⇒ r ∞ 1/q
r(proton) > r (alpha)
(b) For same kinetic energy :
KE = 1/2 mv2
![]()
Radius is independent of KE
Answer 20.
(a)
![]()
Hence D1 and D3 can detect light.
(b) Number of free electrons are very small leading to negligible conduction. Hence, not possible.
Answer 21.

Answer 22.
(a) μ is kept less than 1 so that the noise level can be kept minimum in the signal.
(b)
![]()
(c) Fading of a signal is prominent in case of amplitude modulation and hence noise level is more in AM than FM
SECTION : D
Answer 23.
- Any one relevant value
- Nuclear fission
- Fuel, moderator, cadmium rods, any two
- To slow down the speed of neutrons
SECTION : E
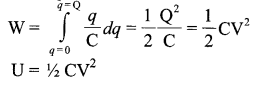
Answer 24.
Consider a capacitor of capacitance C. Let it be charged gradually. At any instant of the charge on the capacitor is q then V = q/C To add further charge dq to the capacitor, amount of work to be done dW = q/ C.dq
Total work in giving a charge Q to the capacitor

Loss in energy
It appears in the form of heat.
OR
(a)


(b)

Answer 25.
(a)
XC = XL
(b)

OR
(a)

(b)

Two voltages are out of phase. Hence they are added vectorially and the algebraic sum of these voltages is more than the source voltage.
Answer 26.
(a)

(b)
Diagram Derivation :

OR
(a) The ray coming from the object has to pass from denser to rarer medium and angle of incidence is greater than the critical angle.
(b) (i) sin c = n1 /n

(ii)

General Instructions:We hope the CBSE Sample Papers for Class 12 Physics Paper 7 help you. If you have any query regarding CBSE Sample Papers for Class 12 Physics Paper 7, drop a comment below and we will get back to you at the earliest.