CBSE Sample Papers for Class 12 Physics Paper 5 are part of CBSE Sample Papers for Class 12 Physics. Here we have given CBSE Sample Papers for Class 12 Physics Paper 5.
CBSE Sample Papers for Class 12 Physics Paper 5
| Board | CBSE |
| Class | XII |
| Subject | Physics |
| Sample Paper Set | Paper 5 |
| Category | CBSE Sample Papers |
Students who are going to appear for CBSE Class 12 Examinations are advised to practice the CBSE sample papers given here which is designed as per the latest Syllabus and marking scheme as prescribed by the CBSE is given here. Paper 5 of Solved CBSE Sample Paper for Class 12 Physics is given below with free PDF download solutions.
Time Allowed : 3 Hours
Max. Marks : 70
- All questions are compulsory. There are 26 questions in all.
- This question paper has five sections: Section A, Section B, Section C, Section D and Section E.
- Section A contains five questions of 1 mark each. Section B contains five questions of 2 marks each. Section C contains twelve questions of 3 marks each. Section D contains one value based question of 4 marks and Section E contains three questions of 5 marks each.
- There is no overall choice. However, an internal choice has been provided in 1 question of 2 marks, 1 question of 3 marks and all the 3 questions of 5 marks weightage. You have to attempt only 1 of the choices in such questions.
- You may use the following values of physical constants wherever necessary :


Questions
SECTION : A
Question 1.
What is work done in moving a test charge q through a distance of 1 cm along the equatorial axis of electric dipole?
Question 2.
An electron and a proton, having equal momenta, enter a uniform magnetic field at right angles to the field lines. What will be the ratio of their trajectories?
Question 3.
Why is short wave band used for long distance radio broadcast?
Question 4.
If a wire is stretched to double its original length without loss of mass, how will the resistivity of the wire be influenced?
Question 5.
When light travel from a rarer to denser medium, the speed decreases. Does this decrease in speed imply a decrease in the energy carried by the light wave? Justify your answer.
SECTION : B
Question 6.
If the potential difference across a capacitor is doubled, what happens to :
- The charge on the capacitor and
- The energy stored in the capacitors.
Question 7.
Give block diagram of basic units of all communication system.
Question 8.
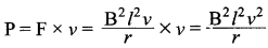
Figure shows a rectangular loop PQRS in which the arm PQ is free to move. A uniform magnetic field acts in the direction perpendicular to the plane of the loop. Arm PQ is moved with a velocity v towards the arm RS Assuming that the arms QR, RS and SP have negligible resistances and the moving arm PQ has the resistance r, obtain the expression for

- the current in the loop
- the force and
- the power required to move the arm PQ.
OR

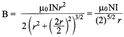
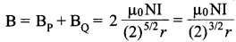
Two identical circular loops, P and Q, each of radius r and carrying equal currents are kept in the parallel planes having a common axis passing through O. The direction of current in P is clockwise and in Q is anti-clockwise as seen from O which is equidistant from the loops P and Q. Find the magnitude of the net magnetic field at O.
Question 9.
Write Einstein’s photoelectric equation. Explain the terms
- Threshold frequency and
- Stopping potential.
Question 10.
Suggest a suitable method to invert an image
- Without change in size.
- Without change in size and without deviation from its original direction of view. Explain how the same is achieved?
SECTION : C
Question 11.
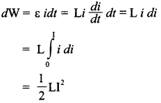
Define self-inductance of a coil. Show that magnetic energy required building up the current I in a coil of self-inductance L is given by 1/2 LI2 .
Question 12.
n identical capacitors when joined in series give an effective capacitance of C Units. What will be the capacitance if the capacitors are now placed in parallel combination?
Question 13.
Find the ratio of the de-Broglie wavelength, associated with protons, accelerated through a potential of 128 V and a particles, accelerated through a potential of 64 V.
Question 14 .
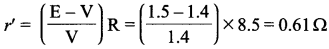
Two identical cells of emf 1.5 V each joined in parallel, provide supply to an external circuit consisting of two resistors of 17 Ω each joined in parallel. A very high resistance voltmeter reads the terminal voltage of the cells to be 1,4 V. What is the internal resistance of each cell?
Question 15.
Draw a plot showing the variation of
- Electric field (E) and
- Electric potential (V) with distance r due to a point charge Q.
Question 16.
A transistor employs a 4 k Ω load and Vcc= 13V. What is the maximum input signal if β = 100 ? Given Vknee = IV and a change of 1V in VBE causes a change of 5 mA in collector current.
Question 17.
The binding energy per nucleon of deuteron (\(_{ 1 }^{ 2 }{ H }\) ) and helium nucleus (\(_{ 2 }^{ 4 }{ He }\) ) is known to be 1.1 MeV and 7 MeV respectively. If two deuteron nuclei react to form a single helium nucleus; calculate the energy released.
Question 18.
A person with a normal near point (25cm) using a compound microscope with an objective of focal length 8 mm and an eye piece of focal length 2.5 cm can bring an object placed 9 mm from the objective in sharp focus. What is the separation between the two lenses? How much is the magnifying power of the microscope?
Question 19.
Define “activity” of a radioactive material and write its S.I unit.
At a given instant there are 25% un-decayed radioactive nuclei in a sample. After 10 seconds the number of un-decayed nuclei reduces to 12.5 %.calculate the
- mean life of the nuclei
- the time in which the number of the un-decayed nuclei will further reduce to 6.25 % of the reduced number.
Question 20.
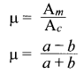
Define the term “modulation index” for an AM wave. What would be the modulation index for an AM wave for which the maximum amplitude is “a” while the minimum amplitude is “b”?
OR
What is space wave propagation? Which two communication methods make use of this mode of propagation? Give limitations of space wave propagation.
Question 21.
Write the principle of working of a potentiometer. Describe briefly, with the help of a circuit diagram, how a potentiometer is used to compare the emf of two cells?
Question 22.
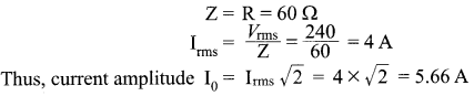
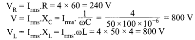
A series LCR circuit with L = 4.0 H, C = 100 μF, R = 60 Ω. connected to a variable frequency 240 V source as shown in figure calculate :

- the angular frequency of the source which drives the circuit at resonance
- the current at the resonating frequency,
- the rms potential drop across the inductor at resonance. 3
SECTION : D
Question 23.
One day Mrs. Rita, mother of Rahul kept her mobile phone for charging over a refrigerator in the evening and when she took it next day morning, she found that the charge was totally very low. She discussed this to her son Rahul. Rahul explain the cause of discharge and not charging of mobile to his mother.
- What was the possible cause of not charging the battery?
- What character was highlighted by Master Rahul?
- Which e.m. wave is used in mobile communication?
SECTION : E
Question 24.
Define relaxation time of the free electrons drifting in a conductor. How is it related to the drift velocity of free electrons? Use this relation to deduce the expression for the electrical resistivity of the material.
OR
State Gauss Law in electrostatics. Use this law to derive an expression for the electric field due to an infinitely long straight wire of linear charge density λ Cm-1.
Question 25.
(a) (i) Draw a labelled ray diagram to show the formation of image in an astronomical telescope for a distant object,
(ii) Write three distinct advantages of a reflecting type telescope.
(b) A convex lens of focal length 10 cm is placed coaxially 5 cm away from a concave lens of focal length 10 cm. If an object is placed 30 cm in front of the convex lens, find the position of the final image formed by the combined system.
OR
- With the help of a suitable ray diagram, derive the mirror formula for a concave mirror.
- The near point of a hypermetropic person is 50 cm from the eye. What is the power of the lens required to enable the person to read clearly a book held at 25 cm from the eye?
Question 26.
State the principle of working of a transformer. Can a transformer be used to step up or step down a d c. voltage? Justify your answer. Mention various energy losses in transformer?
OR
Define working, principle and construction of a moving galvanometer with its labelled diagram. How a galvanometer can be converted into an ammeter and voltmeter.
Answers
SECTION : A
Answer 1.
Since potential difference for equipotential surface
ΔV= 0
Work done in moving a positive test charge q through a distance 1 cm is
W = qΔV = q x 0= 0
Answer 2.
As r = mv/q B =p/q B. Thus, r ∞ p (as q and B are same for both the particles)
Thus r : r = 1:1
Answer 3.
Short wave band means higher frequency of transmission. Higher the frequency longer is the distance.
Answer 4.
No influence.
Answer 5.
No. Energy depends on amplitude and frequency and not on speed.
SECTION : B
Answer 6.
- Since Q = CV, It doubles
- Since UE = 1/2 C V 2, it quadruples
Answer 7.

Answer 8.
Let the length RQ = x and RS = l
Let the magnitude of the uniform magnetic field be B.
(i) The magnetic flux Φ enclosed by the loop PQRS is given by, Φ = Blx

(ii) The magnetic force on the PQ is,
![]()
(iii) Power required to move the arm PQ is,
![]()
OR
The standard formula for field at an axial point is given as

Now, as the current flowing in loop P is clockwise by using right hand thumb rule the direction of the magnetic field will be towards left and as the current in loop Q is clockwise then the direction of magnetic field is towards left. So the net magnetic field at point O will be the sum of the magnetic fields due to loops P and Q.
Also, as the fields produced are at an equal distance to O, BP = BQ, SO, net field
![]()
Answer 9.
The kinetic energy of emitted photoelectrons K.E = hv – hvo where, v is the frequency of incident radiation (hv is the energy of incident radiation) and vo is the threshold frequency (work function).
Threshold frequency :
Threshold frequency is defined as the minimum frequency of incident light which can cause photo electric emission i.e. this frequency is just able to eject electrons with out giving them additional energy. It is denoted by vo. The stopping potential is defined as the potential necessary to stop any electron (or, in other words, to stop even the electron with the most kinetic energy) from ‘reaching the other side’. The potential difference that we must apply to stop the photo-electron from moving is called the stopping potential.
Answer 10.
Prism :
Prisms designed to bend light by 90° or by 180° make use of total internal reflection. Such a prism is also used to invert images without changing their size.
(i)

(ii)

SECTION : C
Answer 11.
Self-inductance is the property by which an opposing induced emf is produce in a coil due to a change in current, or magnetic flux, linked with the coil. It may be defined as self-inductance of a coil is numerically equal to the flux linked with the coil when the current through the coil is 1 A.
Energy stored in an inductor :
Consider a source of emf connected to an inductor L. As the current starts flowing, the opposing induced emf is given by
![]()
If the source of emf flows a current i through the inductor for a small time dt, then the amount of work done by the source, is given by

Answer 12.
Let x be the capacitance of each capacitors.
In series combination \(\frac { 1 }{ C } \) = \(\frac { 1 }{ x } \)+ \(\frac { 1 }{ x } \) + — \(\frac { 1 }{ x } \) ….. times = n \(\frac { 1 }{ x } \) or x = nC
In parallel combination C = x+x+x+x+……n times = nx = n(nC) = nC2
Answer 13.

where,
m = mass of charge particle
q = charge
and V = potential difference.
∴ Ratio of de-Broglie wavelengths of proton and a-particle is given by

Answer 14.
![]()
OR
r = 2 x 0.61 Ω = 1.22 Ω
Answer 15.
![]()

Answer 16.
Collector supply voltage, Vcc = 13V
Knee voltage, Vknee = 1V
Collector load Rc = 4 kΩ
Max. allowed voltage across, Rc = 13-l = 12V
Max. allowed collector current,

Now Collector current / Base voltage (signal voltage) = 5 mA/V (given)
∴ Base voltage (signal voltage) = 30 pA / 5 mA/V = 6 mV
Answer 17.
Binding energy per nucleon of (\(_{ 1 }^{ 2 }{ H }\))= 1 MeV
Total B.E of two nucleons of (\(_{ 1 }^{ 2 }{ H }\))= 2.2 MeV
Total B.E of two deuteron nuclei = 2 x 2.2 = 4.4 MeV
B.E per nucleon of (\(_{ 2 }^{ 4 }{ He }\) ) = 7MeV
Total B.E. of four nucleons of helium (\(_{ 2 }^{ 4 }{ He }\) ) = 4 x 7 = 28 MeV
Energy released in fusion = 28 – 4.4 = 23.6 MeV
Answer 18.

Answer 19.
Activity :
Rate of disintegration of radioactive substance, i.e. number of radioactive nuclei disintegrating in unit time is called activity. SI unit: 1 disintegration per second (dps) or 1 Bq. As the number of undecayed nuclei decreases from 25% to 12.5% in 10 s, it shows that half life of sample is 10 s, so t1/2 = 10 s.

Answer 20.
The modulation index is ratio of modulating signal voltage (Vm) to the carrier voltage (Vc). The modulation index equation is as follows.
μ = Vm/Vc
The modulation index should be a number between 0 and 1. When p is greater than 1, severe distortion results into the modulated waveform. This condition results when Vm is greater than Vc. and it is also known as over modulation.

OR
The radio waves having high frequencies are basically called as space waves. These waves have the ability to propagate through atmosphere, from transmitter antenna to receiver antenna. These waves can travel directly or can travel after reflecting from earth’s surface to the troposphere surface of earth. So, it is also called as Tropospherical Propagation. In the medium wave propagation, c shows the space wave propagation. Basically the technique of space wave propagation is used in bands having very high frequencies. E.g. V.H.F. band, U.H.F band etc. At such higher frequencies the other wave propagation techniques like sky wave propagation, ground wave propagation can’t work. Only space wave propagation is left which can handle frequency waves of higher frequencies. The other name of space wave propagation is line of sight propagation. It is used in TV, RADAR, Microwave communication.
There are some limitations of space wave propagation.
- These waves are limited to the curvature of the earth.
- These waves have line of sight propagation, means their propagation is along the line of sight distance. The line of sight distance is that exact distance at which both the sender and receiver antenna are in sight of each other. So, from the above line it is clear that if we want to increase the transmission distance then this can be done by simply extending the heights of both the sender as well as the receiver antenna.
Answer 21.
Potentiometer is an apparatus used for measuring the emf of a cell or potential difference between two points in an electric circuit accurately. When there is no potential difference between two points then no electric current will flow, this is the basic principle of potentiometer. Potentiometer is mainly used to measure emf of a given cell, internal resistance of a cell and also to compare emf’s of two cells. Potentiometer consists of a long resistive wire l made up of manganin or constantan and a battery of known voltage V called driver cell. Connection of these two forms the primary circuit.
One terminal of another cell (whose emf E is to be measured) is connected at one end of the main circuit and the other terminal at any point on the resistive wire through a galvanometer G. This forms the secondary circuit. Now the potentiometer wire AB is actually is a wire with high resistivity with uniform cross section area. Thus this wire has a uniform resistance throughout.
Now this potentiometer end terminals are connected to a cell of high emf V (neglecting its internal resistance) called the driver or the auxiliary cell. Let a current I flow through the potentiometer wire. Let R = total resistance of the potentiometer wire.
Then by Ohm’s law V = IR
We know R = V/I
Thus,
![]()
As A are constant and I is kept constant by a rheostat so I/A = k (constant)
V=k/
Now suppose a cell of lower emf than the auxiliary is put in the circuit as shown. Say it has a emf E. Now in the potentiometer wire say at a length = x the potential difference is E.
Thus,
![]()
When this cell be put in the circuit as shown in the fig. with a jockey connected to the corresponding length = x, there will be no flow of current through the galvanometer because when pot. difference is equal no current flows. So galvanometer G would show no deflection. Then the length x is called the length of the null point.

Now by knowing the constant k and noting down the x, we may find the emf of the unknown cell. Secondly emf of two cells may also be compared, Let the
first cell of emf E, give a null point at a length = l1
And the second cell show a null point at length = l2
Then,
E1/E2 = l1 /l2
Answer 22.
(i) Angular frequency
![]()
(ii) At Resonance frequency, we know the inductive reactance cancels out the capacitive reactance.

(iii) potential drop across at resonance

SECTION : D
Answer 23.
(a) Because refrigerator is a heat liberating device. He told his mother that mobile phone has a battery so due to excessive heat from refrigerator, battery has lost its magnetic property so that mobile phone shows lesser charge.
(b) Creating awareness, presence of mind .
(c) Microwaves, radio waves
SECTION : E
Answer 24.
Relaxation time (τ), is the time for which a free electron accelerates before it undergoes a collision with the positive ion in the conductor. Or, we can say that it is the average time elapsed between two successive collisions. It is of the order 10-14 seconds. It decreases with increase of temperature and is given as



OR
Gauss’s law :
The net electric flux through any closed surface is equal to l/e0 times the net electric charge enclosed within that closed surface.
Gauss’s law may be expressed as :
![]()
Where, ΦE is the electric flux through a closed surface S . enclosing any volume V, Q is the total charge enclosed within S, and εo is the electric constant.
Electric field due to an infinitely long straight wire :
Consider an infinitely long line charge having linear charge density λ. To determine the electric field at distance r, consider a cylindrical Gaussian surface of radius r and length l coaxial with the charge. By symmetry, the electric field E has same magnitude at each point of the curved surface S1 and is directed radially outward.

Total flux through the cylindrical surface,

As λ is the charge per unit length and I is the length of the wire, So charge enclosed, q = λ l
By Gauss’ theorem,

Answer 25.
(a) (i) Diagram of Telescope

(ii) Advantage of reflecting type telescope over a refracting type telescope are :
- Lenses suffer from chromatic aberrations that are not there in mirrors.
- Lenses also have spherical aberration; a parabolic mirror will be free of spherical aberration.
- It is easier to support large mirrors as the back surface is nonreflecting, but a lens needs support around its rim.
(b)

For convex lens f = + 10 cm, u = – 30 cm

Image formed at I will aerve as a virtual object for for concave lens :

OR
(a) Mirror formula for concave mirror :



(b) The near point of the eye of this person is at 50 cm. The required lens must have a focal length such that the virtual image of the book placed at 25 cm is formed at 50 cm. Then image can be focused by the eye.
Thus, for the lens we have u = – 25 cm and v = – 50 cm putting these values in the lens formula

Answer 26.
Transformer- Principle :
It is a device which converts high voltage A.C. into low voltage A.C. and vice -versa. It is based upon the principle of mutual induction. When alternating current passed through a coil, an induced e.m.f. is set up in the neighbouring coil.

Working :
When an alternating current is passed through the primary, the magnetic flux through the iron core changes which does two things. It produces e.m.f. in the primary and an induced e.m.f. is also set up in the secondary. If we assume that the resistance of primary is negligible, the back e.m.f. will be equal to the voltage applied to the primary.
![]()
Where Np and Ns are number of turns in the primary and secondary respectively. Vp and Vs are their respective voltages.
![]()
The ratio Ns/ Np is called the turns ratio.
- In a step-up transformer: Ns > Np So Vs> Vp
- In a step-down transformer: Ns< Np So Vs< Vp
A transformer cannot be used to step up or step down a d.c., voltage because d.c. cannot produce a changing magnetic flux in the core of the transformer. Transformers energy losses tend to worsen with increasing frequency. Magnetic core losses are exaggerated with higher frequencies, eddy currents in the iron core, resistance of windings or copper loss, hysteresis loss and flux leakage are energy losses in transformers.
OR
Galvanometer :
Galvanometer is an electromechanical instrument which is used for the detection of electric currents through electric circuits. Being a sensitive instrument, galvanometer cannot be used for the measurement of heavy currents. However we can measure very small currents by using galvanometer but the primary purpose of galvanometer is the detection of electric current not the measurement of current.
Working Principle :
Galvanometer works on the principle of conversion of electrical energy into mechanical energy. When a current flows in a magnetic field it experiences a magnetic torque. If it is free to rotate under a controlling torque, it rotates through an angle proportional to the current flowing through it.
Construction :
There are five essential parts of a galvanometer.

- A U-shaped permanent magnet with concave poles.
- Flat rectangular coil PQRS of thin insulated wire.
- A soft iron cylinder ‘L’.
- A pointer or Lamp and Mirror arrangement with a Scale M.
- A Spring S’.
The flat rectangular coil of thin insulated wire of suitable number of turns wound on a light non-metallic or aluminium frame is suspended between the cylindrically concave poles of magnet by a thin phosphor bronze strip.One end of the wire of the coil is soldered to strip. The other end of the strip fixed to the frame of the galvanometer and connected to an external terminal. Through this terminal the current enters or leaves the coil. The other end of the wire of the coil is soldered to a loose and soft spiral of wire connected to another external terminal. The soft spiral of a wire serves as the other current lead. A soft-iron cylinder, coaxial with the pole pieces, is placed within the frame of the coil. In the space between the pole pieces, the coil moves freely, the soft iron cylinder makes the magnetic field stronger and radial such that into whatever position the coil rotates, the magnetic field is always parallel to its plane.
Working :
When a current passes through the galvanometer coil, it experiences a deflecting torque, which tends to rotate it from its rest position. As the coil rotates it produces a twist in the suspension strip. The twist in the strip produces an electric restoring torque. The coil rotates until the elastic restoring torque due to the strip does not equal and cancels the deflecting torque, then it attains equilibrium and stops rotating any further. Conversion of Galvanometer into an ammeter.

Value of Shunt Resistance :
Let resistance of galvanometer = Rg and it gives full -scale deflection when current I is passed through it. Then,
Vg = Ig Rg ………(i)
Let a shunt of resistance (Rs) is connected in parallel to galvanometer. If total current through the circuit is I.
Then current through shunt:
I = (I -Ig)
Potential difference across the shunt :
Vs = IsRs
OR

Conversion of galvanometer into voltmeter
Voltmeter is an electrical measuring device, which is used to measure potential difference between two points in a circuit.
Voltmeter is always connected in parallel to a circuit.

Since galvanometer is a very sensitive instrument, therefore it cannot measure high potential difference. In order to convert a galvanometer into voltmeter, a very high resistance known as “series resistance” is connected in series with the galvanometer.
Value of Series Resistance
Let resistance of galvanometer = Rg and resistance Rx (high) is connected in series to it. Then combined resistance = (Rg + Rx ).
If potential between the points to be measured = V and if galvanometer gives full-scale deflection, when current “Ig” passes through it. Then,

Thus, Rx can be found.
We hope the CBSE Sample Papers for Class 12 Physics Paper 5 help you. If you have any query regarding CBSE Sample Papers for Class 12 Physics Paper 5, drop a comment below and we will get back to you at the earliest.