CBSE Sample Papers for Class 12 Physics Paper 4 are part of CBSE Sample Papers for Class 12 Physics. Here we have given CBSE Sample Papers for Class 12 Physics Paper 4.
CBSE Sample Papers for Class 12 Physics Paper 4
| Board | CBSE |
| Class | XII |
| Subject | Physics |
| Sample Paper Set | Paper 4 |
| Category | CBSE Sample Papers |
Students who are going to appear for CBSE Class 12 Examinations are advised to practice the CBSE sample papers given here which is designed as per the latest Syllabus and marking scheme as prescribed by the CBSE is given here. Paper 4 of Solved CBSE Sample Paper for Class 12 Physics is given below with free PDF download solutions.
Time Allowed : 3 Hours
Max. Marks : 70
- All questions are compulsory. There are 26 questions in all.
- This question paper has five sections: Section A, Section B, Section C, Section D and Section E.
- Section A contains five questions of 1 mark each. Section B contains five questions of 2 marks each. Section C contains twelve questions of 3 marks each. Section D contains one value based question of 4 marks and Section E contains three questions of 5 marks each.
- There is no overall choice. However, an internal choice has been provided in 1 question of 2 marks, 1 question of 3 marks and all the 3 questions of 5 marks weightage. You have to attempt only 1 of the choices in such questions.
- You may use the following values of physical constants wherever necessary :


Questions
SECTION : A
Question 1.
A (hypothetical) bar magnet (AB) is cut into two equal parts. One part is now kept over the other, so that pole C2 is above C1. If M is the magnetic moment of the original magnet, what would be the magnetic moment of the combination so formed?

Question 2.
Four nuclei of an element fuse together to form a heavier nucleus. If the process is accompanied by release of energy, which of the two – the parent or the daughter nucleus would have a higher binding energy/nucleon?
Question 3.
What is the angle between the directions of electric field at any
- axial point and
- equatorial point due to an electric dipole?
Question 4.

A rectangular wire frame, shown below, is placed in a uniform magnetic field directed upward and normal to the plane of the paper. The part AB is connected to a spring. The spring is stretched and released when the wire AB has come to the position A’B’ (t = 0). How would the induced emf vary with time? Neglect damping.
Question 5.
A partially plane polarised beam of light is passed through a polaroid. Show graphically the variation of the transmitted light inten sity with angle of rotation of the polaroid.
SECTION : B
Question 6.
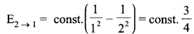
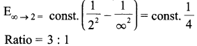
Calculate the ratio of energies of photons produced due to transition of electron of hydrogen atom from its, second permitted energy level to the first level, and highest permitted energy level to the second permitted level.
Question 7.

The I-V characteristics of a resistor are observed to deviate from a straight line for higher values of current as shown below. Why?
Question 8.
A charged particle moving with a uniform velocity enters a region where uniform electric and magnetic fields E and B are present. It passes through the region without any change in its velocity. What can we conclude about the
- Relative directions of \(\vec { E } \), \(\vec { v } \) and \(\vec { B } \)
- Magnitudes of \(\vec { E } \) and \(\vec { B } \)?
Question 9.

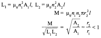
Figure shows two long coaxial solenoids, each of length ‘l’. The outer solenoid has an area of cross-section A1 and number of tums/length n1 The corresponding values for the inner solenoid are A2 and n2 Write the expression for self inductance L1 L2 of the two coils and their mutual inductance M. Hence show that
![]()
Question 10.

Two identical plane metallic surfaces A and B are kept parallel to each other in air separated by a distance of 1.0 cm as shown in the figure. Surface A is given a positive potential of 10V and the outer surface of B is earthed,
- What is the magnitude and direction of the uniform electric field between points Y and Z?
- What is the work done in moving a charge of 20 μC from point X to point Y?
SECTION : C

In the circuit shown here, R represents an electric bulb. If the frequency v of the supply is doubled, how should the values of C and L be changed so that the glow in the bulb remains unchanged?
OR
An air cored coil L and a bulb B are connected in series to the ac mains as shown in the given figure :

The bulb glows with some brightness. How would the glow of the bulb change if an iron rod were inserted in the coil? Give reasons in support of your answer.
Question 12.
Write the relation between the angle of incidence (i), the angle of emergence (e), the angle of prism (A) and the angle of deviation (δ) for rays undergoing refraction through a prism. What is the relation between ∠i and ∠e for rays undergoing minimum deviation? Using this relation, write the expression for the refractive index (μ) of the material of a prism in terms of A and the angle of minimum deviation (δm).
Question 13.
A radioactive material is reduced to 1 /16 of its original amount in 4 days. How much material should one begin with so that 4×10-3 kg of the material is left after 6 days?
Question 14.
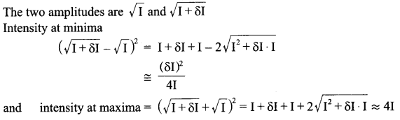
In a double slit interference experiment, the two coherent beams have slightly different intensities I and I + δI(δI << I). Show that the resultant intensity at the maxima is nearly 41 while that at the minima is nearly
![]()
Question 15.
An electric dipole of dipole moment \(\vec { P } \) is placed in a uniform electric field \(\vec { E } \) . Write the expression for the torque \(\vec { \tau }\) experienced by the dipole. Identify two pairs of perpendicular vectors in the expression. Show diagrammatically the orientation of the dipole in the field for which the torque is
- Maximum
- Half the maximum value
- Zero.
OR
Two capacitors with capacity C1 and C2 are charged to potential V1 and V2 respectively and then connected in parallel.Calculate the common potential across the combination, the charge on each capacitor, the electrostatic energy stored in the system and the change in the electrostatic energy from its initial value.
Question 16.
Which two main considerations are kept in mind while designing the ‘objective’ of an astronomical telescope? Obtain an expression for the angular magnifying power and the length ‘ of the tube of an astronomical telescope in its ‘normal adjustment’ position.
Question 17.
Calculate the de-Broglie wavelength of
(i) an electron (in the hydrogen atom) moving with a speed of 1/100 of the speed of light in vacuum and
(ii) a ball of radius 5mm and mass 3 x 10-2 kg. moving with a speed of 100 ms-1. Hence show that the wave nature of matter is important at the atomic level but is not really relevant at the macroscopic level.
Question 18.
Light of wavelength 550 nm. is incident as parallel beam on a slit of width 0.1mm. Find the angular width and the linear width of the principal maxima in the resulting diffraction pattern on a screen kept at a distance of 1. lm from the slit. Which of these widths would not change if the screen were moved to a distance of 2.2m from the slit?
Question 19.
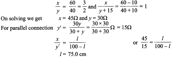
The given figure shows the experimental set up of a meter bridge. The null point is found to be 60 cm way from, the end A with X and Y in position as shown.

When a resistance of 15 Ω is connected in series with Y, the null point is found to shift by 10 cm towards the end A of the fire. Find the position of null point if a resistance of 30 Ω is connected across Y.
Question 20.
Show that during the charging of a parallel plate capacitor, the rate of change of charge on each plate equals ε0 times the rate of change of electric flux (ΦE) linked with it. What is the term
![]()
Question 21.
The spectrum of a star in the visible and the ultraviolet region was observed and the wavelength of some of the lines that could be identified were found to be 824 Å, 1120 Å, 2504 Å, 5173 Å and 6100 Å. Which of these lines cannot belong to hydrogen atom spectrum? (Given Rydberg constant R = 1.03 x 107 m-1 and support your answer with suitable calculations.
\(\frac { 1 }{ R }\) = 970 Å
Question 22.
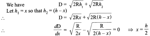
What is space wave propagation? Which two communication methods make use of this mode of propagation? If the sum of the heights of transmitting and receiving antenna in line of sight of communication is fixed at h, show that the range is maximum when the two antenna have a height \(\frac { h }{ 2 }\), each.
SECTION : D
Question 23.
Suresh and Mohan were given a science project based upon the Earth’s magnetism. When they completed their task they showed it to their Physics teacher, he gave some suggestions to improve the project. He suggested few reference books also for their project.
- What values are shown by Physics teacher towards his students?
- Write down the three Earth’s magnetic elements.
SECTION : E
Question 24.
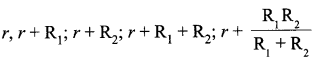
A cell of unknown emf E and internal resistance r, two unknown resistances R1 and R2 (R2> R1) and a perfect ammeter are given. The current in the circuit is measured in five different situations :
- Without any external resistance in the circuit,
- With resistance R1 only,
- With resistance R2 only,
- With both Rj and R2 used in series combination and
- With R1 and R21 used in parallel combination.
The current obtained in the five cases are 0.42A, 0.6A, 1.05A, 1,4A, and 4.2A, but not necessarily in that order. Identify the currents in the five cases listed above and calculate E, r, R1 and R2.
OR
Describe the formula for the equivalent EMF and internal resistance for the parallel combination of two cells with EMF E1 and E2 and internal resistances r1 and r2 respectively. What is the corresponding formula for the series combination? Two cells of EMF 1 V, 2 V and internal resistances 2 Ω and 1 Ω respectively are connected in
- series
- parallel.
What should be the external resistance in the circuit so that the current through the resistance be the same in the two cases? In which case more heat is generated in the cells ?
Question 25.
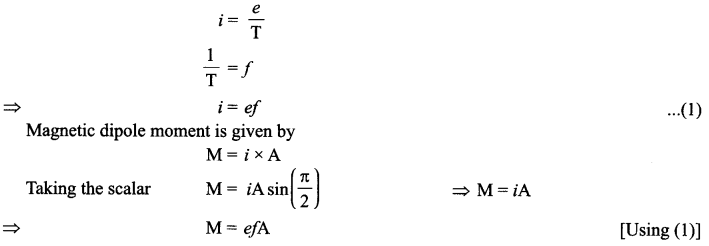
(i) Describe an expression for the magnetic field at a point on the axis of a current carrying circular loop.
(ii) Two coaxial circular loops L1 and L2 of radii 3 cm and 4cm are placed as shown. What should be the magnitude and direction of the current in the loop L2 so that the net magnetic field at the A point O be zero?

OR
(i) What is the relationship between the current and the magnetic moment of a current carrying circular loop? Use the expression to derive the relation between the magnetic moment of an electron moving in a circle and its related angular momentum?
(ii) A muon is a particle that has the same charge as an electron but is 200 times heavier than it. If we had an atom in which the muon revolves around a proton instead of an electron, what would be the magnetic moment of the muon in the ground state of such an item.
Question 26.
(i) Derive the mirror formula which gives the relation between f, v and u. What is the corresponding formula for a thin lens?
(ii) Calculate the distance d, so that a real image of an object at O, 15 cm in front of a convex lens of focal length 10 cm be formed at the same point O. The radius of curvature of the mirror is 20 cm. Will the image be inverted or erect?

OR
(i) Using the relation for refraction at a single spherical refracting surface, derive the lens maker’s formula.
(ii) In the accompanying diagram, the direct image formed by the lens (f= 10 cm) of an object .placed at O and that formed after reflection from the spherical mirror are formed at the same point O’. What is the radius of curvature of the mirror?

Answers
SECTION : A
Answer 1.
Nearly Zero or Zero.
Answer 2.
The daughter element, (release of energy is accompanied by an increase of B.E).
Answer 3.
- Angle between electric field and axial point is 0°
- Angle between electric field and
Answer 4.
Sinusoidal Variation OR

Answer 5.

SECTION : B
Answer 6.
We have

and

Answer 7.
For higher values of current, we observe that the current value for a given voltage is less than given by Ohm’s law. This means that R has increased for higher values of current. The increase of R is because of the increase in temperature of the resistor at higher values of the current.
Answer 8.


Answer 9.

Answer 10.
(i)

Its direction is from higher potential to lower potential point, i.e., from Y to Z.
(ii) The surface of a charged metal plate is an equipotential surface. X and Y are at the same potential. ΔV = VY – Vx = 0 Work done in moving a charge in an electric field = qΔV
∴ Work done in moving 20μC from X to Y = (20 x 10-6) x 0 = 0
SECTION : C
Answer 11.
For same current value, the total impedance must remain same.
![]()
must remain same. Thus L and C must both be halved simultaneously.
OR
The glow of the bulb will decrease. As the iron rod is inserted in the coil, its inductance increases. As inductance increases, its reactance also increases resulting in an increase in the impedance of the circuit. As a result, the current in the circuit and hence the glow of the bulb will decrease.
Answer 12.
∠i + ∠e – ∠δm = ∠A
For minimum deviation
∠i = ∠e

For minimum deviation, we also have

Answer 13.

Answer 14.

Answer 15.

(i)

(ii)

(iii)

OR

Answer 16.
Two main considerations with an astronomical telescope are:
- its light gathering power and
- its resolving power.
The light gathering power depends on the area of the objective. With larger diameters, even faint objects can be observed.
The resolving power or the ability to observe two objects distinctly, which are very near in the same direction, also depends on the diameter of the objective, when the final image is formed at infinity.

Normal adjustment :
As shown in Fig. when a parallel beam of light is incident on the objective, it forms a real, inverted and diminished image A’B’ in its focal plane. The eyepiece is so adjusted that the image A’B’ exactly lies at its focus. Therefore, the final image is formed at infinity and is highly magnified and inverted with respect to the object.
Magnifying power in normal adjustment. It is defined as the ratio of the angle subtended at the eye by the final image as seen through the telescope to the angle subtended at the eye by the object seen directly, when both the image and the object lie at infinity. As the object is very far off the angle subtended by it at the eye is practically equal to the angle (α) subtended by it at the objective. Thus,

Clearly for large magnifying power, f0 >>fe.
The negative sign for m indicates that the image is real and inverted. The length of the telescope in normal adjustment =
f0 + fe.
Answer 17.

Answer 18.

Linear width = Dθ = 1.1 x 5.5 x 10-3 m = 6.05 mm The angular width would not change.
Answer 19.

Answer 20.

This term has been used to modify and generalize Ampere’s Circuital law.
Answer 21.

Answer 22.
Space wave :
A space wave travels in a straight line from the transmitting antenna to the receiving antenna.
Two ways :
Line of sight communication and satellite communication.

SECTION : D
Answer 23.
- leasing behaviour, helpfulness, responsible, concern for the students to create the interest in the Physics.
- Magnetic declination, magnetic inclination, and horizontal component of Earth’s magnetic field.
SECTION : E
Answer 24.
Total resistance in five cases are :


(i) Derivation for parallel combination

(ii) Series combination formula
E = E1+ E2,
r = r1 + r2
(iii) Numerical

Answer 25.
(i) Magnetic field at a point on the axis of the dipole is given by

The direction of I2 must be opposite to that of I1.
(ii)

OR
(i) The magnetic moment m of a current loop is the vector whose magnitude is equal to the area of the loop times the magnitude of the current flowing in it (m = IA) and whose direction is perpendicular to the place in which the current flows.
If T = time period of the electron

(ii) Magnetic moment is given as

So, it does not depend upon the mass but on the charge. Thus, it will remain unaffected in this case.
Answer 26.
(i) Derivation of formula

Then lens formula

(ii) Numerical
![]()
⇒ v =+30cm
Distance of this image from the mirror must be 20 cm For image to form at O, mirror must reverse the light d = (30 + 20) cm = 50 cm The final image is inverted.
OR
Statement of formula for single surface
- Derivation :
- Numerical : v = 15 cm, f= 10 cm
⇒ u = -30 cm - Distance of O from mirror : 20 cm
But O must be at radius of curvature for rays to reverse ⇒ R = 20 cm
We hope the CBSE Sample Papers for Class 12 Physics Paper 4 help you. If you have any query regarding CBSE Sample Papers for Class 12 Physics Paper 4, drop a comment below and we will get back to you at the earliest.