CBSE Sample Papers for Class 12 Physics Paper 2 are part of CBSE Sample Papers for Class 12 Physics. Here we have given CBSE Sample Papers for Class 12 Physics Paper 2.
CBSE Sample Papers for Class 12 Physics Paper 2
| Board | CBSE |
| Class | XII |
| Subject | Physics |
| Sample Paper Set | Paper 2 |
| Category | CBSE Sample Papers |
Students who are going to appear for CBSE Class 12 Examinations are advised to practice the CBSE sample papers given here which is designed as per the latest Syllabus and marking scheme as prescribed by the CBSE is given here. Paper 2 of Solved CBSE Sample Paper for Class 12 Physics is given below with free PDF download solutions.
Time Allowed : 3 Hours
Max. Marks : 70
- All questions are compulsory. There are 26 questions in all.
- This question paper has five sections: Section A, Section B, Section C, Section D and Section E.
- Section A contains five questions of 1 mark each. Section B contains five questions of 2 marks each. Section C contains twelve questions of 3 marks each. Section D contains one value based question of 4 marks and Section E contains three questions of 5 marks each.
- There is no overall choice. However, an internal choice has been provided in 1 question of 2 marks, 1 question of 3 marks and all the 3 questions of 5 marks weightage. You have to attempt only 1 of the choices in such questions.
- You may use the following values of physical constants wherever necessary :


Questions
SECTION : A
Question 1.
Where on the surface of Earth is the angle of dip 90°?
Question 2.
A hollow metal sphere of radius 3 cm is charged such that the potential on its surface is 10 V. What is potential at the centre of the sphere?
Question 3.
How are radiowaves produced?
Question 4.
Write any two characteristic properties of nuclear force.
Question 5.
Two bar magnets are quickly moved towards a metallic loop connected across a capacitor ‘C’ as shownt in the figure. Predict the polarity of the capacitor.

SECTION : B
Question 6.
What happens to the width of depletion layer of a p-n junction when it is
(i) forward biased,
(ii) reverse biased?
Question 7.
Define the term ‘stopping potential’ in relation to photoelectric effect.
Question 8.
A thin straight infinitely long conducting wire having charge density λ is enclosed by a cylindrical surface of radius r and length l. Its axis coinciding with the length of the wire. Find the expression for the electric flux through the surface of the cylinder.
OR
Plot a graph showing the variation of Coulomb force (F) versus , where 1/ r2 is the distance between the two charges of each pair of charges: (1μC, 2 μC) Md (2 μC, -3 μC). Interpret the graphs obtained.
Question 9.
Two thin lenses of power +6D and -2D are in contact. What is the focal length of the combination?
Question 10.
What are eddy currents? Write any two applications of eddy currents.
SECTION : C
Question 11.
What is sky wave communication? Why is this mode of propagation restricted to the frequencies only upto few MHz?
Question 12.
In the given circuit, assuming point A to be at zero potential, use KirchhofF’s rules to determine the potential at point B.

Question 13.
Net capacitance of three identical capacitors in series is 1 pF. What will be their net capacitance if connected in parallel?
Find the ratio of energy stored in the two configurations if they are both connected to the same source.
Question 14.
Using the curve for the binding energy per nucleon as a function of mass number A, state clearly how the release in energy in the processes of nuclear fission and nuclear fusion can be explained.

Question 15.
In the meter bridge experiment, balance point was observed at J with AJ = l
(i) The values of R and X were doubled and then interchanged. What would be the new position of balance point?
(ii) If the galvanometer and battery are interchanged at the balance position, how will the balance point get affected?

Question 16.
A convex lens made up of glass of refractive index 1.5 is dipped, in turn, in
(i) a medium of refractive index 1.65,
(ii) a medium of refractive index 1.33. 3
(a) Will it behave as a converging or a diverging lens in the two cases?
(b) How will its focal length change in the two media?
Question 17.
Draw a plot showing the variation of photoelectric current with collector plate potential for two different frequencies, v1 >v2 of incident radiation having the same intensity. In which case will be stopping potential be higher? Justify your answer.
Question 18.
Use the mirror equation to show that:
(a) an object placed between f and 2f of a concave mirror produces a real image beyond 2f
(b) a convex mirror always produces a virtual image independent of the location of the object.
(c) an object placed between the pole and focus of a concave mirror produces a virtual and enlarged image.
Question 19.
Draw a labelled diagram of a full wave rectifier circuit state its working principle. Show the input-output waveforms.
Question 20.
(a) Using de Broglie’s hypothesis, explain with the help of a suitable diagram, Bohr’s second postulate of quantization of energy levels in a hydrogen atom.
(b) The ground state energy of hydrogen atom is -13.6 eV. What are the kinetic and potential energies of the electron in this state?
Question 21.
You are given, a circuit below. Write its truth table. Hence, identify the logic operation carried out by this circuit. Draw the logic symbol of the gate it corresponds to.

Question 22.
A compound microscope uses an objective lens of focal length 4 cm and eyepiece lens of focal length 10 cm. An object is placed at 6 cm from the objective lens. Calculate the magnifying power of the compound microscope. Also calculate the length of the microscope.
OR
(a) A giant refracting telescope at an observatory has an objective lens of focal length 15 m. If an eyepiece lens of focal length 1.0 cm is used, find the angular magnification of the telescope.
(b) If this telescope is used to ‘view the moon,’ what is the diameter of the image of the moon formed by the objective lens? The diameter of the moon is 3.42 x 106 m and the radius of the lunar orbit is 3.8 x 108 m.
SECTION : D
Question 23.
Shiv had a high tension tower erected on his farm land. He kept complaining to the authorities to remove it since it occupies a large portion of his land. His uncle who was a teacher, explained him about the need for erecting these towers for efficient transmission of power. As Shiv got convinced and realised its significance, he stopped complaining.
Based on the above paragraph, answer the following questions :
- Why is it necessary to transport power at high voltage?
- A low power factor implies large power loss. Explain.
- Write two values displayed by Shiv and his uncle.
SECTION : E
Question 24.
(a) Using Ampere circuital law, obtain the expression for the magnetic field due to a long solenoid at a point inside the solenoid on its axis.
(b) In what respect is a toroid different from a solenoid? Draw and compare the pattern of the magnetic field lines in the two cases.
(c) How is the magnetic field inside a given solenoid made strong?
OR
(a) State the principle of the working of a moving coil galvanometer, giving its labelled diagram.
(b) “Increasing the current sensitivity of a galvanometer may not necessarily increase its voltage sensitivity.” Justify this statement.
(c) Outline the necessary steps to convert a galvanometer of resistance G Ω into an ammeter of a given range.
Question 25.
State the working of a.c. generator with the help of a labelled diagram. The coil of an a.c.generator having N turns, each of area A, is rotated with a constant angular velocity ω. Deduce the expression for the alternating e.m.f. generated in the coil. What is the source of energy generation in this device.
OR
(a) Show that in an a.c. circuit containing a pure inductor, the voltage is ahead of current by π/2 in phase.
(b) A horizontal straight wire of length L extending from east to west is falling with speed v at right angles to the horizontal component of Earth’s magnetic field B.
- Write the expression for the instantaneous value of the e.m.f. induced in the wire.
- What is the direction of the e.m.f.?
- Which end of the wire is at the higher potential?
Question 26.
State the importance of coherent sources in the phenomenon of interference. In Young’s double slit experiment to produce interference pattern, obtain the conditions for constructive and destructive interference. Hence deduce the expression for the fringe width. How does width get affected, if the entire experimental apparatus of Young is immersed in water?
OR
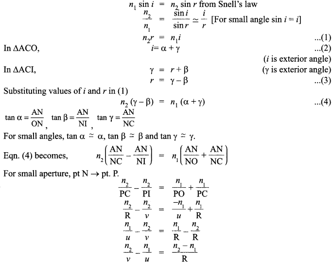
A spherical surface of radius of curvature R, separated a rarer and a denser medium as shown in the figure.

(i) Complete the path of the incident ray of light, showing the formation of real image. Hence derive the relation connecting object distance u image distance V, radius of curvature R and the refractive indices n1 and n2 of two media. [S.P. 2016]
(ii) Briefly explain, how the focal length of a convex lens changes with increase in wavelength of incident light.
Answers
SECTION : A
Answer 1.
Magnetic dip is the angle made by a compass needle with the horizontal point on earth’s surface. Positive value of inclination indicates that the field is pointing downwards, into the earth, at the point of measurement. The angle of dip is 90° at the poles.
Answer 2.
Potential inside the charged sphere is constant and equal to potential on the surface of the conductor, therefore potential at the centre of sphere is 10 V.
Answer 3.
Radiowaves are the electromagnetic waves of frequency ranging from 500 kHz to about 1000 MHz. Radiowaves are made by various types of transmitter, depending on the wavelength. They are also given off by stars, sparks and lightning. These waves are used in the field of radio communication.
Answer 4.
Characteristic properties of nuclear forces are :
(i) Nuclear forces are strongest forces in nature :
Magnitude of nuclear forces is 100 times that of electrostatic force and 10 times the gravitational force.
(ii) Nuclear forces are charge independent :
Nuclear forces between a pair of protons, a pair of neutrons or a pair of neutron and proton act with same strength.
Answer 5.
In this situation, a will become positive with respect to b, as current induced is in clockwise direction.

SECTION : B
Answer 6.
(i) Reverse biased :
Potential drop across the junction increases and diffusion of holes and electrons across the junction decreases. It makes the width of the depletion layer larger.
(ii) Forward biased :
Potential drop across the junction decreases and diffusion of holes and electrons across the junction increases. It makes the width of the depletion layer smaller.
Answer 7.
Stopping potential is the minimum negative (retarding) potential of anode for which photocurrent stops or becomes zero. It is denoted by Vs. The value of stopping potential is different for different metals but it is independent of the intensity of incident light.
Answer 8.
Charge enclosed by the cylindrical surface q = λI
![]()
OR
The following graph shows the variation of Coulomb force (F) versus 1/ r2

Answer 9.
P = P1 + P2
P = 6 + (-2) = 4D
f = 1 / p = 1/4 = 0.25 m = 25cm.
Answer 10.
When a bulk piece of conductor is subjected to changing magnetic flux, the induced current, developed in it is called eddy current.
Applications of eddy currents :
- Magnetic brakes in trains.
- Electromagnetic damping.
- Induction furnaces.
- Electric power meter.
SECTION : C
Answer 11.
Ionosphere reflection of radiowaves, back towards the earth, is known as sky wave communication. It is the mode of wave propagation in which the radiowaves emitted from the transmitter antenna reach the receiving antenna after reflection by the ionosphere. The electromagnetic waves of frequencies greater than 40 MHz penetrate the ionosphere and escape. The ionosphere layers act as a reflector for a certain range of frequencies (3-30 MHz).
Answer 12.

Answer 13.
Net capacitance = 1 μF
If C1 = C2 = C3 = C
Let C be the capacitance of each of three capacitors and Cs and CR be the capacitance of series and parallel combination respectively.

Answer 14.
The above curve shows that :
- When a heavy nucleus breaks into two medium sized nuclei (in nuclear fission) the BE/nucleon increases resulting, in the release of energy.
- When two small nuclei combine to form a relatively bigger nucleus in nuclear fusion BE/nucleon increases, resulting in the release of energy.
Answer 15.
(i) At balanced condition, the relation is :

(ii) By interchanging galvanometer and battery, there will be no change in the balance point position.
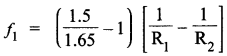
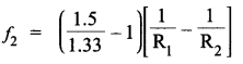
Answer 16.
(a) When convex lens is dipped in medium of refractive index 1.65, its focal length (f1) is given by

⇒ f1 is negative, hence lens behave as diverging lens in this medium. When convex lens is dipped in medium of refractive index 1.33, its focal length is given by

⇒ f2 is positive, hence in this medium lens behave as converging lens.
(b) In first medium, focal length of lens becomes more negative while in second medium, focal length of lens becomes more positive.
Answer 17.

Stopping potential is more for the curve corresponding to the frequency v2 (∴ v1 >v2). This is due to the fact that with increase in the frequency, the kinetic energy of emitted photoelectrons also increases. Therefore we need more negative potential to stop these electrons. Therefore, v is always +ve and always less than d. So we can say that convex mirror always produces a virtual image between pole and focus. (c) For an object between pole and F, we have 0 < n < 1. In this case: v is +ve (virtual image) and v > c. Therefore, we get a virtual and enlarged image.
Answer 18.
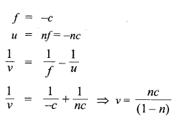
- By mirror formula \(\frac { 1 }{ v }\) + \(\frac { 1 }{ u }\) = \(\frac { 1 }{ f }\)
- for concave mirror, f < 0 or f = -ve
- for convex minor, f > 0 or f = +ve
Concave mirror :
Let
Also, Let

(a) When Object is between f and 2f, we have I < n < 2 v is —ve i.e., real image (For n = I and n 2), magnitude of v becomes ∞ and —2c respecuvely.
Therefore, real image is formed beyond 2f.
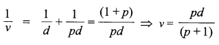
(b) Convex Mirror :
As we know f = +d
Let u = —pd (p can have any value)

Therefore, v is always +ve and always less than d. so we can say that convex mirror always produces a virtual image between pole and focus.
(c) For an object between pole and F, we have O < n < 1. In this case : v is +ve (virtual image) and v > c. Therefore, we get a virtual and enlarged image
Answer 19.

Rectification :
Rectification means conversion of ac into dc. A p-n diode acts as a rectifier because an ac changes polarity periodically and a p-n diode conducts only when it is forward biased, it does not conduct when reverse biased.
Working :
The ac input voltage across secondary S1 and S2 changes polarity after each half cycle. Suppose during the first cycle of input ac signal, S1 is positive relative to centre tap and S2 is negative relative to it, then diode D1 is forward biased and D2 is reverse biased. Therefore, diode D1 conducts while D2 does not. Similarly, during another half cycle, when polarity of S1 and S2 gets reversed then D2 conducts while does not. Thus, dc-current in load resistance RL is in the same direction for both the half cycles of input ac signal. The output current is a continuous series of unidirectional pulses.

In a full wave rectifier, if input frequency is f Hertz, then output frequency will be 2f Hertz because for each cycle of input, two positive half cycles of output are obtained.
Answer 20.
(a) For an electron revolving in the nth circular orbit of radius rn, total distance covered = circumference of the orbit = 2πrn

i.e., angular momentum of electron revolving in nth orbit must be an integral multiple of h/2π which in the quantum condition proposed by Bohr in second postulate.

(b) The kinetic and the potential energies of electron in the hydrogen atom (Z = 1) are given by

Where r in the radius of the orbit in the given energy state.

Answer 21.
Truth table is :

Logic operation is AND or (A .B)
Logic symbol is :

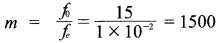
Answer 22.


For eye – piece (when final image at D)

(a) Angular magnification,
![]()
(b) Let d be the diameter of the image. Angle subtended by image,

SECTION : D
Answer 23.
- To reduce power losses.
- Effective power ∞ 1 / cos β
- Values: Shiv – open-minded. Uncle – Rational.
SECTION : E
Answer 24.

(a) Magnetic field inside a long solenoid is uniform and approximately zero outside it. Figure shows a sectional view of long solenoid, current coming out of the plane of the paper at points marked © and current entering the plane of the paper at point marked ®. To find the magnetic field [/latex]\vec { B }[/latex], at any point inside consider a rectangular loop abed as Amperian loop.

Where
l = length of the loop abed
Σl = nlI [Where I is the current through Solenoid]
B l = μ0 nlI
B = μ0 nlI
(b) Difference :
In a toroid, magnetic lines do not exist outside the body. Toroid is closed whereas the solenoid is open on both sides.
Magnetic field is uniform inside a toroid whereas for solenoid, it is different at the two ends and centre according to Ampere circuital law.
Comparison of Magnetic field of Toroid and Solenoid:

(c) Strength of magnetic field can be increased:
- By inserting the ferromagnetic substance inside the solenoid.
- By increasing the current through the solenoid.
OR

(a) Principle :
Its working based on the fact that when a current carrying coil is placed in a magnetic field, it experiences a torque.
Working :
When current (I) is passed in the coil, torque x acts on the coil, given by
τ =NIAB sinθ
Where, θ = angle between normal to plane of coil and [/latex]\vec { B }[/latex]
B = Magnetic field strength N = no. of turns in a coil.
For equilibrium,
deflecting torque = restoring torque
NIAB = C θ
![]()
C = torsional rigidity of the wire
deflection of coil is directly proportional to current flowing in the coil.
(b) Due to deflecting torque, the coil rotates and suspension wire gets twisted. A restoring torque is set in the suspension wire.

∴ Voltage sensitivity is the deflection per unit voltage.
(c) Conversion of a galvanometer to ammeter

A shunt (low resistance) is connected in parallel with the galvanometer
![]()
Answer 25.
Working :
When a coil (armature) rotates inside a uniform magnetic field, magnetic flux linked with the coil changes w.r.t. time. This produces an e.m.f. according to Faraday’s law.

For first half of the rotation the current will be from one end (first ring ) to the other end (second ring). For second half of the rotation it is in opposite sense. To calculate the magnitude of e.m.f. induced,
Suppose
N = number of turns in the coil.
A = area enclosed by each turn of coil.
B = strength of magnetic field.
θ = angle which normal to the coil makes with B at any instant t,

∴ Magnetic flux linked with the coil in this position

Where ω be the angular velocity of the coil. At this instant t, if e in the e.m.f. induced in the coil, then

Source of energy :
Mechanical energy
The word generator is a misnomer, because nothing is generated by the machine, it is an alternator converting one form of energy to another.
OR
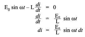
(a) Circuit containing inductance only :

Let an alternating emf given by E = E0 sin cot, be applied across a pure (zero resistance) coil of inductance L. As the current i in the coil vanes continuously, an opposing emf is induced in the coil whose magnitude isL di/dt , where di /dt is the rate of change of current. But this should be zero because there is no resistance in circuit. Thus,


(b)

- e = BLv
- direction Of emf is from south to north
- End B of wire is at greater potential than endA.
Answer 26.
Two sources of light which continuously emit light waves of same frequency with a zero or constant phase difference between them are called coherent sources. They are necessary to produce sustained interference pattern. A thin film of oil spread over water shows beautiful colours due to interference of light. If coherent sources are not taken, the phase difference, between the two interfering waves, will change continuously and a sustained interference pattern will not be obtained.
y1 = a cos ωt
y2 = a [cos (ωt + Φ)]
According to principle of superposition, the resultant wave is given by
y = y1+y2
y = a [cos (ωt + cos (ωt + Φ)]

Constructive interference :
The, intensity of light will be minimum at those places wherethe path difference between the interfering light waves is Zero or an integral multiple of λ i .e., λ 2λ ,…..
Hence for minimum intensity, we have

Destructive interference :
The, intensity of light will be minimum at those places wherethe path difference between the interfering light waves is an odd integral multiple of λ i .e., λ/2 , 3λ/2 ,…..
Hence for minimum intensity, we have

So fringe width is directly proportional to A. On immersing the apparatus in water, the wavelength of light decreases ( λw = λ/n).
Therefore, fringe width will decrease in water.
OR
(i) Object placed in rarer medium, real image Assumptions in refraction at spherical surfaces.

- Object is point object.
- Angle of incidence is small.
- Aperture of surface is small.
Consider a spherical at surface of radius of curvature R. A pt. object O is placed on principal axis in rarer medium of refractive index n1 n1 < n2

(ii) As wavelength of the incident light increases, the refractive index n2 of the lens will decrease

So 1/f will decrease i.e.,f will increase.
We hope the CBSE Sample Papers for Class 12 Physics Paper 2 help you. If you have any query regarding CBSE Sample Papers for Class 12 Physics Paper 2, drop a comment below and we will get back to you at the earliest.