Area on a Coordinate Grid
Finding the area of polygons drawn on a coordinate axis is an easy process. There are two situations to be considered when examining these polygons:
Sides are parallel to the axes:
If the figure is drawn such that its sides (or needed segments) are drawn ON the grids of your graph paper, you can COUNT the lengths and use your area formulas.
Sides are NOT parallel to the axes:
If the figure is drawn such that its sides (or needed segments) are NOT drawn ON the grids of your graph paper, you will need to draw a “BOX” around the figure to determine its area.
Sides are parallel to the axes

COUNT to find the needed lengths:
The base of the triangle lies ON the grids of the graph paper (horizontal), and the altitude (vertical height) also lies ON the grids of the graph paper, since it is perpendicular to the base.
By counting, the base length is 7 units and the altitude is 3 units.
Use the area of a triangle formula:

AC can also be found by subtracting the x-coordinates of the two points (4 – (-3) = 7). Since the base of the altitude is located at (2,1), the altitude can be found by subtracting the y-coordinates (4 – 1 = 3).
To COUNT: stand at A and take one step to the right to the next grid line. Continue stepping and counting until you reach C.
Sides are NOT parallel to the axes

“Box” Method to find area:
In this example, the sides of the triangle do NOT lie on the grid of the graph paper. You should:
- Draw the smallest “box” possible to enclose the polygon (ΔABC). Be sure that the “box” follows the grids of the graph paper.
- Number each of the parts of the box with a Roman numeral (ignore the axes when numbering).
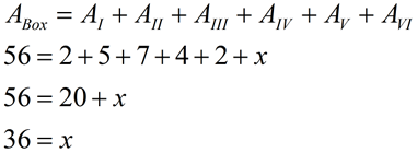
- “The whole is equal to the sum of its parts.” The area of each of the parts of the “box” added together equals the area of the “box”.

Note:
- Find the area of the box by counting.
- Represent the triangle you need by x.
- Find the area of each of the right triangles by counting and using the formula for the area of a triangle.
Dealing with odd shaped pieces:

There are times when the “box” will not form nice right triangles in each of the corners, as shown here in the upper left corner. In such a case, it is necessary to further subdivide these sections into one rectangle and two right triangles, so the lengths can be easily counted.

The answer is 36 square units.
Remember to keep your work simple by forming shapes that are easy to count.