Addition and Subtraction of Radicals
(For this lesson, the term “radical” will refer only to “square root”.)
When adding or subtracting radicals, you must use the same concept as that of adding or subtracting “like” variables.
In other words, the radicals must be the same before you add (or subtract) them.
| Since the radicals are the same, simply add the numbers in front of the radicals (do NOT add the numbers under the radicals). | |
| Since the radicals are not the same, and both are in their simplest form, there is no way to combine these values. The answer is the same as the problem. Warning: If the radicals in your problem are different, be sure to check to see if the radicals can be simplified. Often times, when the radicals are simplified, they become the same radical and can then be added or subtracted. Always simplify, if possible, before deciding upon your answer. |
Example 1: Add: 2√3 + 4√75
At first glance, it appears that combining these terms under addition is not possible since the radicals are not the same. But if we look further, we can simplify the second term so it will be a “like” radical:
![]()
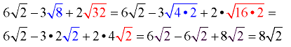
Example 2: Simplify 6√2 – 3√8 + 2√32
Simplify the radicals first, and then subtract and add.

Example 3:
![]()
Notice that this problem mixes cube roots with a square root.
