A New Approach to ICSE Physics Part 2 Class 10 Solutions Sound
Exercise – 1
Question 1.
(a) State the laws of reflection of sound.
(b) How will you verify laws of reflection of sound experimentally ?
Answer:
(a) Laws of reflection of sound :
- Angle of incidence is equal to the angle of reflection. ∠i = ∠l
- Incident wave, reflected wave and the normal lie in the same plane.
(b) Verification of laws of reflection : Take a smooth polished large wooden board and mount it vertically on a table. At right angle to the board fix a wooden screen on each side of the screen place a long, narrow and highly polished tube from inside. Place a watch at the end A. Move the tube B slightly left or right till distinct tick of water is heard. Measure ∠PKN and
∠BKN.

It is found that ∠PKN = ∠BKN. This verifies the laws of reflection.
Question 2.
Describe any two applications of reflection of sound.
Answer:
(i) Megaphone : People use horn shaped metal tubes commonly called megaphones while addressing a group of people in fairs or tourist spots. Sound energy is prevented from spreading out by successive reflections from the horn shaped tubes.
(ii) Hearing aid : Its shape is like a trumpet the narrow end is kept in the ear tube of the person who is hard of hearing. Where as the wider end towards the speaker collects the waves and reflects into the narrow end. This increases the intensity of sound energy hence the person who is hard of hearing can hear clearly.
Question 3.
(a) What is an echo ?
Answer:
ECHO : “The repeated sound heard after reflection from a distant rigid obstacle (such as cliff, a hill side, wall of a building, edge of forest etc.) after the original sound has ceased is called an ECHO.”
(b) State two conditions necessary for the formation of an echo.
Answer:
Two conditions for forming an echo :
- The minimum distance between the source of sound and the reflecting body should be 17 metres.
- The intensity of sound should be sufficient so that it can be heard after reflection.
Question 4.
What are reverberation ? Give two examples.
Answer:
Reverberation : “Due to repeated reflections at the reflecting surface (reflector is less than 17 metres from original sound) the sound gets prolonged, This effect is known as reverberation.”
Example :
- Speaking in a large empty room.
- Clapping in tombs like TajMahal.
Question 5.
How will you determine speed of sound by the method of echos ?
Answer:
In order to determine the speed of sound in air, sound produced from a place at known distance d at least 50 m from the reflecting surface. The time interval t in which the echo reaches the place from where sound was produced is noted by a stop watch. Then speed of sound is calculated
as v = total distance travelled /time interval = 2d/ t ms-1
Question 6.
What is sonar ? State its principle. How is it used to find the depth of sea ?
Answer:
SONAR : “Sound Navigation and Ranging.” It is based on the principle of ECHO.

ultra- sonic waves are sent in all directions from the ship and then are received on their return after reflection. Using the formula an obstacle such as enemy submarine, ice berg, a sunken ship etc. The time interval between sending and receiving of wave is noted. The distance (depth) can be calculated by vis speed of ultrasonic waves in water. v = 2d/t or d = Vt/2
Question 7.
How do bats locate their prey ? Explain in detail.
Answer:
Location of prey by bats :
Bats can produce and detect the sound of very high frequency up to 10 kHz. The sound produced by bats get reflected back from an obstacle in front of it. These echoes tell the bat how they must turn in the air to avoid collision with obstacles. By using their ears, the bats, can fly skilfully at night in the utter darkness of caves. The highly sensitive nose of a bat acts as a recorder and picks up air vibrations set in motion by the movements of other animals. It appears that the nose and ears of the bats are important factors in the radar like operation.
Question 8.
How do the following use echoes ?
- army,
- geologists,
- fishermen.
Answer:
(i) army : Echoes are used by army to locate the gun position of enemy. Radar an instrument is used to locate an enemy air-craft ship.
(ii) geologists : Echoes are used by geologists for mineral prospecting.
(iii) fishermen : for locating fishes ultrasonic waves are sent into water. If these vibrations strike a fish, they are reflected back to the receivers. The time for hearing the echoes recorded. The position of fish is calculated by d = v × t/2 using vel. of sound in water as 1450 ms-1.
Multiple Choice Questions
Tick ( ✓ ) the most appropriate option.
Question 1.
The practical application based on the reflection of sound is:
(a) megaphone
(b) sounding board
(c) sonometer
(d) both (a) and (b)
Answer:
(d) both (a) and (b)
Question 2.
Which is not the condition for the formation of echoes ?
(a) Minimum distance between the source of sound and reflecting body should be 17 m.
(b) The temperature of air should be above 20°C.
(c) The wavelength of sound should be less than the height of the reflecting body.
(d) The intensity of sound should be sufficient so that it could be heard after reflection.
Answer:
(a) Minimum distance between the source of sound and reflecting body should be 17 m.
Question 3.
For hearing an echo, the minimum distance between the source of sound and reflecting body should be
(a) 12 m
(b) 24 m
(c) 17 m
(d) 51 m
Answer:
(c) 17m
Question 4.
To locate its prey in the darkness the owl or the bat emits:
(a) infrasonic waves
(b) ultrasonic waves
(c) sonic waves
(d) infrared waves
Answer:
(b) ultrasonic waves
Numericals Problems on Echoes
Practice Problems 1
Question 1.
A person fires a gun in front of a building 167 m away. If the speed of sound is 334 ms-1, calculate time in which he hears an echo.
Answer:
d = 167 ∴ 2d = 167 × 2 m
Speed of sound = 334 ms-1
t for echo to be heard = ?

Question 2.
An echo is heard after 0.8 s, when a person fires a cracker, 132.8 m from a high building. Calculate the speed of sound.
Answer:
t = 0.8 s d = 132.8 m

Question 3.
The speed of sound is 310 ms-1. A person fires a gun. An echo is heard after 1.5 s. Calculate the distance of person from the cliff from which echo is heard.
Answer:
Speed of sound = 310 ms-1
time after which echo is heard t = 1.5 s distance from cliff d = ?
2d = Speed × t
Practice Problems 2
Question 1.
An echo is heard by a radar in 0.08 s. If velocity of radio waves is 3 × 108 ms-1, how far is the enemy plane ?
Answer:
t = 0.08 s v = 3 × 108 ms-1

Question 2.
An enemy plane is at a distance of 300 km from a radar. In how much lime the radar will be able to detect the plane ? Take velocity of radiowaves as 3 × 108 ms-1.
Answer:
d=300 t = ? v = 3 × 108 ms-1
t=2d/v = 2 × 300 × 1000m/3 ×108 ms-1
=0.002 s = 2 × 10-3 s
Practice Problems 3
Question 1.
A man stands in between two parallel cliffs and explodes a cracker. He hears the first echo after 0.6 s and second echo after 2.4 s. Calculate the distance between the cliffs. [Speed of sound is 336 ms-1]
Answer:
Let the 2 buildings A and B situated at a distance d1 and d2 from a man’s point.

Question 2.
A man stands in between two parallel cliffs and explodes a cracker. He hears the first echo after 0.6 s and second echo after 2.4 s. Calculate the distance between the cliffs. [Speed of sound is 336 ms-1]
Answer:
Let A and B be two cliffs at distance d1 and d2 metre from a man.

Practice Problems : 4
Question 1.
A man stands in between two cliffs, such that he is at a distance of 133.6 m from nearer cliff. He fires a gun and hears first echo after 0.8 s and second echo after 1.8 s. Calculate :
- speed of sound
- distance between two cliffs.
Answer:

Question 2.
A person stands in between two parallel cliffs which are 99 m apart. He fires a gun and hears two successive echoes after 0.2 s and 0.4 s. Calculate :
- the distance of the person from the nearer cliff
- speed of sound.
Answer:


Practice Problems : 5
Question 1.
A man stands in front of a vertical cliff and fires a gun. He hears an echo after 2.5 s. On moving 80 m closer to the cliff he again fires the gun and he hears an echo after 2 s. Calculate:
(a) distance of man from cliff to his initial position
(b) speed of sound.
Answer:


Question 2.
A boy stands in front of a cliff, on the other side of a river. He fires a gun and hears an echo after 6 seconds. The boy then moves 170 m backwards and again fires the gun. He hears an echo after 7 seconds. Calculate :
(a) width of river
(b) speed of sound.
Answer:


Exercise – 2
Question 1.
Define the following :
- natural vibrations
- forced vibrations
- damped vibrations
- natural frequency
Answer:
(i) Natural vibrations : “The vibrations produced in a body, on being slightly disturbed from its mean position are caiied natural vibrations.”
(ii) Forced vibrations : “The vibrations which lake plat e under the influence of an external periodic force arc called forced vibrations.”
(iii) Damped vibrations : “The periodic vibrations of continuously decreasing amplitude in the presence of resistive force are called damped vibrations.”
(iv) Natural frequency : “The number of vibrations executed per second by a freely vibrating body is called natural frequency.”
Question 2.
State four characteristics of forced vibrations.
Answer:
Characteristics of forced vibrations :
- The body acquires the frequency of external periodic force.
- The amplitude of forced vibration is very small, if the frequency of external force is much different from natural frequency of the body.
- The amplitude of vibration remains constant with time, but magnitude depends upon the frequency of the driving force.
- If the frequency of external force is exactly equal or is an integral multiple vibrating body, the amplitude of oscillation is very large.
Question 3.
Give two examples of forced vibrations.
Answer:
Examples:
1. When a guitar is played, the artist forces the strings of the guitar to execute forced vibrations.
2. The vibrations produced in hollow sound box containing air are forced vibrations.
Question 4.
Why are the stringed instruments provided with large wind box?
Answer:
So that on plucking the strings, forced vibrations of the air send greater energy and cause a loud sound.
Question 5.
What do you understand by the term resonance ? Give two conditions for producing resonance.
Answer:
Resonance : “is a special case of forced vibrations. When the frequency of an externally applied periodic force on a body is equal to its natural frequency, the body readily begins to vibrate with an increased amplitude. This phenomenon is called resonance.”
Two conditions of resonance :
- The natural frequency of the given body (non-vibrating body) must be equal to (or its integral multiple) the frequency of the vibrating body.
- The vibrating body must have sufficient force, so as to. set the other body into vibrations.
Question 6.
Explain the following :
(a) Why does the frame of a motorbike vibrate violently at some particular speed ?
Answer:
The vibrations caused by the movement of the piston, the frame of motorbike may have frequency (natural) be equal to the frequency of piston and due to resonance, it vibrates violently at that particular speed.
(b) Why does an odd piece of cutlery start vibrating violently when a note of some particular frequency is played ?
Answer:
When note of some particular frequency is played its frequency may have matched the natural frequency of odd piece of cutlery and due to resonance the piece starts vibrating.
(c) Why are the soldiers instructed to march out of step while crossing a bridge ?
Answer:
While crossing the bridge when soldiers march in steps, each soldier exerts a periodic force in same phase and therefore the bridge executes the forced vibrations of frequency equal to the frequency of their steps. Now the natural frequency of the bridge happens to be equal to the frequency of the steps, the bridge will vibrate with a large amplitude due to resonance and bridge may collapse. So, the soldiers are advised to break their steps while crossing the bridge.
Multiple Choice Questions
Tick ( ✓ ) the most appropriate option.
Question 1.
A string is stretched between two nails fixed in the opposite
walls and plucked from middle. The vibrations produced by the string are : –
(a) forced vibrations
(b) free vibrations
(c) damped vibrations
(d) resonant vibrations
Answer:
(b) free vibrations
Question 2.
Water from a tap is allowed to fall in a vessel with a thin neck. The pitch of sound produced by falling water with the volume of water in the vessel.
(a) decreases
(b) increases
(c) remains same
(d) none of these
Answer:
(b) increases
Question 3.
The amplitude of forced vibrations is generally than the amplitude of applied external force.
(a) more
(b) less
(c) equal to
(d) none of these
Answer:
(b) less
Question 4.
A tuning fork has a frequency of 212 Hz. It will produce resonance in a wooden board of frequency
(a) 106 Hz
(b) 318 Hz
(c) 212 Hz
(d) 448 Hz
Answer:
(c) 212 Hz
Exercise – 3
Question 1.
Define the following
- musical sound,
- noise
Answer:
(i) Musical sounds : “Sound waves which produce pleasant sensation in our ears and are acceptable, are called musical sounds.”
(ii) Noise : “Sound waves which produce trouble-some sensation and are unacceptable are known as noise.
Question 2.
Give three differences between musical sound and noise.
Answer:
Difference between musical sound and noise
Musical sound:
- Produce pleasant effect on the ear
- Proceeds at regular intervals in quick succession.
Noise:
- Produce displeasing effect on ear. .
- Proceed at irregular intervals.

Question 3.
State three characteristics of musical sound.
Answer:
Three characteristics of musical sound :
- Pitch
- Loudness or intensity of sound
- Quality or timbre.
Question 4.
(a) What do you understand by the term pitch of sound ?
(b) How is the pitch of sound related to the frequency of a vibrating body ?
Answer:
(a) Pitch : “This characteristic enables us to differentiate between two sounds with equal loudness, coming from different sources and having different frequencies.” Sounds with equal loudness can be produced by pressing different keys of the harmonium, but they are easily distinguished due to different pitches.
(b) The higher the frequency of a note the higher is its pitch.
Question 5.
(a) What do you understand by the term loudness of sound ?
(b) How is the loudness of sound related to :
- amplitude of the vibrating body,
- distance of the observer from the vibrating body,
- density of the medium producing sound,
- frequency of sound.
Answer:
(a) Loudness : “Is the time rate at which the sound energy flows through a unit area.” Different bodies of same frequency have different loudness due to different amplitude. More the amplitude louder it is.
(b) :
- More the amplitude, louder it is.
- Loudness or intensity of sound I ∝ 1/(Distance) Loudness decreases with increase in distance.
- Loudness is directly proportional to density of medium.
- Sound waves of the same Intensity but of different frequencies usually have different loudness.
Question 6.
(a) What do you understand by the term intensity of sound?
(b) Name the unit in which intensity of sound (loudness) is measured.
(c) What is the normal range of loudness ?
(d) What is the range of loudness when sound becomes painful?
Answer:
(a) Intensity of sound or Loudness : “Is the time rate at which the sound energy flows through a unit area.” Different bodies of same frequency have different loudness due to different amplitude. More the amplitude louder it is.
(b) Unit of Intensity of loudness is (dB) decibels.
(c) Normal range of loudness is 50 (dB) to 80 (dB).
(d) above 80 dB it becomes painful.
Question 7.
List one source of noise in :
(a) transportation,
(b) homes,
(c) factories,
(d) surroundings.
Answer:
Source of noise in
(a) Transportation : Petrol and diesel vehicles.
(b) Homes : Power music system, desert cooler.
(c) Factories : Running of machines, grinding.
(d) Surroundings : Loud speakers used in marriages and religious places.
Question 8.
List four harmful effects of sound pollution.
Answer:
Harmful effects of sound pollution :
- Noise produces headaches, irritatibility and nervous tension.
- A long exposure to noise pollution may result in the loss of hearing to deafness.
- Noise in the surroundings interferes with the conversation with another.
- It causes anger, tension and interferer with the sleep pattern of individuals.
Question 9.
List four ways of reducing noise pollution.
Answer:
Ways of reducing noise pollution :
- Factories should be located far away from residential areas.
- Heavy vehicles should not be allowed in residential areas.
- At homes T.V. radio, power music system, should played at a low volume.
- Machines should be designed in such a way, so that they produce minimum noise.
Question 10.
What do you understand by the term quality of sound ?
Answer:
Quality of sound : “The notes of different instruments having
the same frequencies and same loudness are distinguished by this characteristics.” It is because different waveforms are produced by different musical instruments.
Multiple Choice Questions
Tick (✓ ) the most appropriate option.
Question 1.
The amplitude of a sound wave is increased from 1 mm to 2 mm. The loudness of the sound will:
(a) increase two time
(b) increase four times
(c) same
(d) decrease
Answer:
(b) Increase four times ∵ IOC (amp)2
Question 2.
By decreasing the amplitude of a pure note its :
(a) speed decreases
(b) wavelength decreases
(c) quality changes
(d) loudness decreases
Answer:
(d) loudness decreases
Question 3.
Two notes are produced from a flute and piano, such that they have same loudness and same pitch. The notes so produced differ in their :
(a) waveform
(b) wavelength
(c) frequency
(d) speed
Answer:
(a) waveform
Question 4.
The voice of women is shrill as compared to men because of the difference in their :
(a) speed
(b) loudness
(c) frequency
(d) all these
Answer:
(c) frequency
Question 5.
The sound produced by two tuning forks A and B have same amplitude and same waveform, but the frequency of A is three times more than B. In such a case :
(a) quality of sound of A differs from B
(b) the note produced by A is shriller than B
(c) the note produced by B is shriller than A
(d) the note produced by A has more speed than B.
Answer:
(b) the note produced by A is shriller than B
Questions from ICSE Examination Papers
2006
Question 1.
Explain why musical instruments like a guitar are provided with a hollow box.
Answer:
Hollow box is so constructed that the air column inside it has a natural frequency which is same as that of strings stretched on it. So that when the strings are made to vibrate, the air column inside the box is set into vibrations and its reinforces the sound.
Question 2.
A tuning fork, struck by a rubber pad, is held over a length of air column in a tube. It produces a loud sound for a fixed
length of the air column.
(a) Name the above phenomenon.
(b) How does the frequency of the loud sound compare with that of the tuning fork ?
(c) State the unit for measuring loudness.
Answer:
Phenomenon is resonance
(b) The frequency of the loud sound is increased compared to frequency of tuning fork.
(c) Unit of loudness is decibel dB which signifies sound PRESSURE LEVEL.
ldB = 10 log10 1/10
2007
Question 3.
Define the terms :
(a) Amplitude
(b) Frequency (as applied to sound waves).
Answer:
(a) Amplitude of a wave is the maximum displacement of a particle about its mean position.
(b) Frequency of a wave is defined as the number of vibrations made per second about the mean position. It is measured in Hz.
Question 4.
A man standing in front of a vertical cliff fires a gun. He hears the echo after 3 seconds. On moving closer to the cliff by 82.5 m, he fires again. This time, he hears the echo after 2.5 seconds. Calculate :
(a) the distance of the cliff from the initial position of the man.
(b) the velocity of sound.
Answer:


2008
Question 5.
A radar sends a signal to an aeroplane at a distance 45 km away with a speed of 3 × 108 ms-1. After how long is the signal received back from the aeroplane ?
Answer:
As sound comes back so it is echo.
t is calculated by the formula
t = Total distance travelled/Speed = 2d/V
Here d= 45000 m, V = 3 × 108 ms-1 l, t = 2 × 45000 / 3 × 108 = 3 × 10-4 s.
Question 6.
(a) :
- What is meant by an echo ? Mention one important condition that is necessary for an echo to be heard distinctly.
- Mention one important use of echo.
Answer:
- The sound heard after reflection from a rigid obstacle (such as a cliff, a hillside, wall of building, edge of a forest etc.) is called an echo.
An echo is heard only if the distance between the person producing the sound and the rigid obstacle is long enough to allow the reflected sound to reach the person atleast 0.1 second after the original sound is heard. - Sound ranging and echo depth sounding. Echos are also . used by geologists for mineral prospecting.
(b) :
- Sometimes when a vehicle is driven at a particular speed, a rattling sound is heard. Explain briefly, why this happens and give the name of the phenomenon taking place.
- Suggest one way by which the rattling sound can be stopped.
Answer:
- It happens due to resonance. When a vehicle is driven, the piston of the engine makes in and out motion at a frequency depending upon its speed. The vibrations caused by the movement of piston are transmitted to all parts of the vehicle. It is just possible that some parts of the vehicle (or its frame), may have natural frequency of to and fro movement of piston at the certain speed of the vehicle. When this happens, then at this particular speed of the vehicle that part starts vibrating vigorously due to resonance.
- To stop the rattling sound. The speed of vehicle is changed, so that the condition of resonance will not then hold.
2009
Question 7.
An ultrasonic wave is sent from a ship towards the bottom of the sea. It is found that the time interval between the sending and the receiving of the wave, is 1.5 second. Calculate the depth of the sea if the velocity of sound in sea water is 1400 ms’1.
Answer:
t = 1.5 s
s = ?
v = 1400 ms-1
2s = vt
s = vt/2 = 1400 x 1.5/2
= 1050 m
Question 8.
(a) A stringed musical instrument, such as the Sitar, is provided with a number of wires of different thicknesses. Explain the reason for this.
Answer:
In stringed instruments, frequency depends on thickness or radius of string. So to produce different frequencies different strings of different thicknesses are provided.
(b) What is meant by noise pollution ? Write the name of one source of sound that causes noise pollution.
Answer:
The disturbance produced in the environment by undesirable, loud and harsh sound from various sources. Also a constant hearing of sound of level above 120 dB can cause headache and permanent damage to the ears of the listener. This is called noise pollution, e.g., police car siren concert, jet at take off produce noise pollution.
Question 9.
(a) (i) What is the principle on which sonar is based?
(ii) Calculate the minimum distance at which a person should stand in front of a reflecting surface so that he can hear a distinct echo. (Take speed of sound in air = 350 ms-1.)
Answer:
- Sonar is based on echo.
- The sensation of sound persists in our ears for about 1/10th, of a second after exciting stimulus ceases to act. If d is the distance between the observer and obstancle and v the speed of sound, the time taken to hear the echo is
t = Distance travelled in going and coming back/speed of Sound of v = 340 ms-1
∴ Minimum distance of 17.5 m from the listner, to hear. echo distinctly.
(b) :
- Name the characteristic of sound which enables a person to differentiate between two sounds with equal loudness but having different frequencies.
- Define the characteristic named by you in (i).
- Name the characteristic of sound which enables a person to differentiate between two sounds of the same loudness and frequency but produced by different instruments.
Answer:
Characteristic having
- Two sounds with equal loudness but having different frequencies is Pitch.
- PITCH : “is that characteric of sound by which an acute (or shrill) not can be distinguished from a grave or flat note.”
- Characteristic is quality.
(c) :
- A person is tuning his radio set to a particular station. What is the person trying to do to tune it ?
- Name the phenomenon involved, in tuning the ratio set.
- Define the phenomenon named by you in part (ii).
Answer:
- He is trying to match the frequency of the radio components with the brodcasting station he wants to receive and hence to produce resonance (make the sound louder).
- Reasonance is the phenomenon.
- Resonance “is a special case of forced vibrations. When the frequency of an externally applied periodic force on a body is equal to its natural frequency, the body readily begins to vibrate with an increased amplitude. This phenomenon is known as Resonance.”
2010
Question 10.
(a) State two differences between light waves and sound waves.
(b) The waves of the same pitch have their amplitudes in the ratio 2 : 3.
- What will be the ratio of their loudness ?
- What will be the ratio of their frequencies ?
(c) Name the subjective property
- on sound related to its frequency.
- of light related to its wavelength
Answer:
(a) The two main difference are :
Light Waves:
1. They are electromagnetic waves and their velocity is
3 × 1o8 ms-1.
2. They have very small wavelength.
Sound Waves:
1. These are mechanical waves and their velocity is 340 ms-1.
2. The wavelength of sound waves is quite large compared with that of light waves.
(b) :
- Since loudness is inversely proportional to the square of the amplitude, I = loudness ∝ 1/(amp)2 therefore loudness will be in ratio of (2)2 : (3)2 i.e., 4 : 9.
- Since their pitch is the same, therefore their frequencies will be same i.e., their ratio is 1 : 1.
(c) :
- Loudness
- Colour
Question 11.
(a) A man stands at a distance of 68 m from a cliff and fires a gun. After what time interval will he hear the echo, if the speed of sound in air is 340 ms-1.
(b) If the man had been standing at a distance of 12 m from the cliff would he have hear the clear echo ?
Answer:
(a) The time t after which an echo is heard is given by,= 0.07 s which is less than.1 s.
2011
Question 12.
(a) When acoustic resonance takes place, a loud sound is heard. Why does this happen ? Explain.
(b) :
- Three musical instruments give notes of the frequencies listed below. Flute : 400 Hz; Guitar : 200 Hz; Trumpet: 500 Hz. Which of these has the highest pitch?
- Which of the following frequencies does a tuning fork of 256 Hz resonate ? 288 Hz, 333 Hz, 512 Hz.
Answer:
(a) At acoustic resonance, the amplitude of the vibration of the body becomes very large. Since loudness is proportional to the square of the amplitude, therefore, we hear a loud sound under this condition.
(b) :
- Trumpet: 500 Hz.
- 512 Hz. Second resonance will take place.
Question 13.
(a) :
- Name the type of waves which are used for sound ranging.
- Why are these sound waves mentioned in (i) above are not audible to us ?
- Give one use of sound ranging.
(b) A man is standing 25 m away from a wall produces a sound and receives the reflected sound.
- Calculate the time after which he receives reflected sound ¡f the speed of sound is 350 ms1
- Will the man be able to hear a distinct echo ? Give a reason for your answer.
Answer:
(a):
- Ultrasonic waves.
- Because their frequency lies beyond the limits of audibility (20 Hz—20,000 Hz).
- To locate the position of the object under water and to find the depth of sea.
(b):

- Yes, because distance is more than 17 m and time period is 0.14 sec.
2012
Question 14.
(a) Which characteristic of sound will change, if there is a change in
- its amplitude
- its waveform.
(b) :
- Name one factor which affects the frequency of sound emitted due to vibrations in an air column.
- Name the unit used for measuring the sound level.
Answer:
(a) :
- With the change in amplitude, the loudness of sound changes.
- With the change in waveform the quality of sound changes.
(b) :
- The length of vibrating air column affects its frequency. More the length of vibrating air column, lesser is its frequency.
- Decibel (dB) is the unit used for measuring sound level.
Question 15.
(a):
- What is meant by Resonance ?
- State two ways in which Resonance differs from Forced vibrations.
(b):
- A man standing between two cliffs produces a sound and hears two successive echoes at intervals of 3 s and 4 s respectively. Calculate the distance between the two cliffs. The speed of sound in the air is 330 ms-1.
- Why will an echo not be heard when the distance between the source of sound and the reflecting surface is 10 m?
(c) The diagram below shows the displacement-time graph for a vibrating body.

- Name the type of vibrations produced by the vibrating body.
- Give one example of a body producing such vibrations.
- Why is the amplitude of the wave gradually decreasing?
- What will happen to the vibrations of the body after some time ?
Answer:
(a) :
- The phenomenon due to which the natural frequency of a given body corresponds to the frequency of sound impressed on it, such that it rapidly starts vibrating is called resonance.
- (a). The resonance takes place only when the natural frequency of a given body is equal to the frequency of sound impressed on it, whereas during forced vibration a body is forced to vibrate with the frequency of sound impressed on it.
(b). Loud sound is produced during resonance, but not in case of forced vibrations.

Distance between AB = x + y = 495 + 660 = 1155 m - The persistence of sound on ear drum is 1/10 of a second. The echo can be heard if the minimum distance of the source of sound from the vibrating body is 17 m.
As the distance is only 10 m, therefore, no echo is produced.
(c) :
- Transverse vibrations are produced which are gradually damped.
- A stretched string of a guitar.
- As the energy of wave is dissipated its amplitude decreases.
- The body will stop vibrating. It will come to rest.
2013
Question 16.
(a) : A bucket kept under a running tap is getting filled with water. A person sitting at a distance is able to get an idea when the bucket is about to be filled.
- What changes take place in the sound to give this idea?
- What causes the change in the sound ?
(b): A sound made on the surface of a lake takes 3 s to reach a boatman. How much time will it take to reach a diver inside the water at the same depth ?
[Velocity of sound in air = 330 ms-1 ; Velocity of sound in water = 1450 ms-1]
Answer:
(a):
- The sharp pitched sound slowly changes to low pitched sound as the bucket gets filled. The sound almost dies when the bucket is completely filled.
- As the length of vibrating air column decreases due to the water, the frequency of the sound changes.
(b) : Distance covered by the sound to reach boatman = 330 ms-1 × 3 s = 990 m
∴Distance of diver from the source of sound = 990 m 990 m 990 _
∴Time taken by the sound to reach diver = 1450 ms-1 ” 145 s = 0.68 s (Appox.).
Question 17.
(a) :
- What is the principle on which SONAR is based.
- An observer stands at a certain distance away from a cliff and produces a loud sound. He hears the echo of the sound after 1.8 s. Calculate the distance between the cliff and the observer if the velocity of sound in air is 340 ms-1.
(b) : A vibrating tuning fork is placed over the mouth of a burette filled with water: The tap of the burette is opened and the water level gradually starts falling. It is found that the sound from the tuning fork becomes very loud for a particular length of the water column.
- Name the phenomenon taking place when this happens.
- Why does the sound become very loud for this length of the water column ?
(c) :
- What is meant by the terms (a) amplitude (b) frequency of a wave ?
- Explain why stringed musical instruments, like the guitar, are provided with a hollow box.
Answer:
(a) :
- SONAR is based on Echo of Sound.
- Distance between cliff and source of sound

(b) :
- The phenomenon is called ‘resonance of sound’.
- A some particular length of air column the natural frequency of air column corresponds the frequency of tuning fork. At this moment the sound waves reinforce to produce loud sound.
(c) :
- The maximum displacement of vibrating particle about its mean position is called its amplitude. The number of waves which pass through a point in a medium in one second is called frequency.
- Stringed musical instruments are provided with hollow box so that when the vibrations are produced by strings are impressed on the enclosed air, they produced forced vibrations and a loud sound is produced.
2014
Question 18.
(a) :
- What are mechanical waves ?
- Name one property of waves that do not change when the wave passes from one medium to another.

The diagram above shows three different modes of vibrations P, Q and R of the same string.
- Which vibrations will produce a louder sound and why?
- The sound of which vibration will have maximum shrillness?
- State the ratio of wavelengths P and R.
Answer:
(a) :
- Mechanical Waves : “Sound waves which require medium to travel are called Mechanical Waves.”
- Frequency of wave does not change as it passes from one medium to other medium.
(b) :
- R will produce louder sound because its amplitude is more than P and Q.
- The sound of P string will have maximum
- The ratio of wavelength of P and R is lp/lR = fR/fp = 1/3 ∴ lp : lR = 1 : 3
Question 19.
(a) : A type of electromagnetic wave has wavelength 50A.
- Name the wave.
- What is the speed of this wave in vacuum?
- State one use of this type of wave.
(b) :
- State one important property of waves used for echo depth sounding.
- A radar sends a signal to an aircraft at a distance of 30 km away and receives it back after 2 x 10-4 second. What is the speed of the signal?
Answer:
(a) :
- X-Ray.
- 3 x 108 m/s.
- X-Ray are used for detection of fracture in bones.
(b) :
- The depth of sea can be found by echo depth sounding process and waves used are ULTRA SONIC and these can travel un deviated through a long distance, can be confiued to narrow beam and are not absorbed by medium.
- Distance of aircraft = 30 km = 30 x 1000 m = 30,000 m Total distance = 2 x 30,000 = 60,000 m Time taken = 2 x 10-4 second

2015
Question 20.
- Draw a graph between displacement and the time for a body executing free vibrations.
- Where can a body execute free vibrations?
Answer:
- The displacement—time graph for a body executing free vibrations is given below:

- The free vibrations of a body actually occur only in vacuum because the presence of a medium offers some resistance due to which the amplitude of vibration does not remain constant and decreases continuously. Thus, we define free vibrations as the periodic vibrations of a body of constant amplitude in the absence of any external force on it.
(b) :
- State the safe limit of sound level in terms of decibel for human hearing.
- Name the characteristic of sound in relation to its waveform.
Answer:
- The safe limit of sound level for human hearing is 60 dB to 85 dB.
- The characteristic of sound in relation to its waveform is quality or timbre.
Question 21.
(a) : A person standing between two vertical cliffs and 480 m from the nearest cliff shouts. He hears the first echo after 3s and the second echo 2s later. Calculate:
- The speed of sound.
- The distance of the other cliff from the person.
Answer:
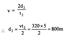
- Let d1 be the distance of the nearest cliff and d2 be the distance of the farther cliff. The time for the first echo is t1 = 3 s The first echo will be heard from the nearest cliff. The total distance travelled by sound before reaching the person is 2d1

Hence, the speed of sound is 320 m/s. - The second echo is heard 2 s after the first one. Hence, t2 = 3 + 2 = 5 s Again the sound travels a total distance 2d2 before reaching the person. So, we get

Hence, the distance between the other cliff and the person is 800 m.
(b) : In the diagram below, A, B, C, D are four pendulums suspended from the same elastic string PQ. The length of A and C are equal to each other while the length of pendulum B is smaller than that of D. Pendulum A is set in to a mode of vibrations.

- Name the type of vibrations taking place in pendulums B and D?
- What is the state of pendulum C?
- State the reason for the type of vibrations in pendulums B and C.
Answer:
- The vibrations which occur in pendulums B and D are called forced vibrations.
- Pendulum C is in the state of resonance with pendulum A as it is of the same length.
- The pendulums vibrate because the forced vibration from A is transferred due to string PQ.
Pendulum B is of a different length as compared to pendulum A. Hence, it will continuously vibrate with a frequency which is different from that of pendulum A. Its amplitude will also be very small. Pendulum C is of the same length as compared to pendulum A. Hence, it will vibrate in phase with pendulum A. Its amplitude will be equal to that of pendulum A as it will attain resonance.
2016
Question 22.
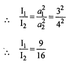
(a) : The ratio of amplitude of two waves is 3:4. What is the ratio of their :
- loudness
- frequencies?
Answer:
- Let a1 and a2 be the amplitudes and I, and I2 be the intensities of the two waves.

- Frequency is the number of waves formed per second. It only depends on time period. Thus, the ratio of their frequencies is 1:1.
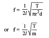
(b) : State two ways by which the frequency of transverse vibrations of a stretch string can be increases.
Answer:
The frequency of transverse vibration is given by

where l = length of the vibrating string
T = tension in the string
m = mass per unit length of the string
Therefore, the frequency of transverse vibration of a stretched string can be increased by
- decreasing the length of the string
- decreasing the radius of the string
- increasing the tension T in the string
(c) : What is meant by noise pollution? Name one source of sound causing noise pollution.
Answer:
The disturbance produced in the environment by undesirable and loud sound from the various sources is called noise pollution. Loudspeaker, noise produced by heavy duty vehicles or railways trains, etc.
Question 23.
(a) :
- Name the waves used for echo depth sounding.
- Give one reason for their use for the above purpose.
- Why are the waves mentioned by you not audible to us?
Answer:
- (i) The waves used for echo depth sounding are ultrasound waves.
(ii) Ultrasound waves are used for echo depth ranging because they can travel undeviated through a long distance.
(iii) Ultrasonic waves have frequency larger than 20000 Hz. Hence, these waves are not audible to us as the audible range for the human ear is 20 Hz to 20000 Hz.
(b) :
- What is an echo
- State two conditions for an echo to take place.
Answer:
- The sound heard after reflection from a distant obstacle after the original sound has ceased is called an echo,
- The conditions for an echo to take place are
a. The minimum distance between the source of sound and the reflector in air must be 17 m.
b. The size of the reflector must be large enough as compared to the wavelength of sound wave.
(c) :
- Name the phenomenon involved in tuning a radio set to a particular station.
- Define the phenomenon named by you in part (i) above.
- What do you understand by loudness of sound ?
- In which units is the loudness of sound measured ?
Answer:
- The phenomenon involved in tuning a radio set to a particular station is called resonance.
- Resonance : When the frequency of an externally applied periodic force on a body is equal to its natural frequency, the body readily begins to vibrate with an increased amplitude. This phenomenon is known as resonance.
- Loudness is the property by virtue of which a loud sound can be distinguished from a faint one, both having the same pitch and quality.
- The loudness of sound is measured in decibel (dB).