A New Approach to ICSE Physics Part 2 Class 10 Solutions Electric Circuits, Resistance & Ohm’s Law
Exercise – 1
Question 1.
In which direction conventional current and electronic current flow from a source of electricity ?
Answer:
Electronic current is always in opposite direction to conventional current.
- When both the bodies are positively charged and are in contact the body having more +ve charge is at higher potential conventional current from A to B + 100 > + 70 from higher potential to lover potential.
∴ Electronic current from B to A.

- When both A and b negative charge conventional current: from higher potential (—70) to lower potential (—100) i.e. from B to A electronic current: from A to B.

- When A has +ve charge of 100 units and B has —ve charge of 70 units Conventional Current: from A to B Higher potential to lover potential a electronic current from b to A.

Question 2.
Define electric potential. State its practical unit and define it.
Answer:
Electric Potential : “Is the electrical state of a conductor which determines the direction of flow of charrge when two conductors are either in contact or joined by a metallic wire.”
Or
ELECTRIC POTENTIAL “at a point is the work done in moving unit positive charge from infinity to that point in an electric field.
S.I. unit is volt.
VOLT : “If work done in moving 1 coulomb of charge from one point to other is 1 joule, the potential-difference between two points is said to be 1 volt.”
Question 3.
Define quantity of charge. States its practical unit and define it
Answer:
Quality of charge is “The number of charges (electrons) which drift from a higher to a lower potential is called quantity of charge.”
Particle unit of charge is coulomb.
Coulomb: “Flow of 6.25 × 1018 electrons through a conductor constitute 1 coulomb.”
Or
“Charge carried by 6.25 × 1018 electrons is called 1 coulomb.”
Question 4.
Define electric current State its practical unit and define it
Answer:
Electric current: “Rate of flow of charge”. I = Q/t = ne/t
S.I. Unit → Ampere (A)
Ampere : “When a charge of 1 coulomb passes in 1 second current flowing is one ampere.”
Question 5.
State two multiples and two submultiples of the unit of electric potential and electric current
Answer:
Multiple units of :
Electric potential is
- ( Kv ) kilovolt = 103 V
- Megavolt (Mv) = 106 V
Electric current :
- KA (kilo-ampere) = 1000 A
- MA (Mega-ampere) = 106
Sub multiple units of:
Electric potential:
- mV milli volt = 10-3 V
- µv = micro volt = lO-6 V
Electric current :
- mA = milli ampere = 10-3 A
- µA = micro-ampere = 10-6 A
Question 6.
What do you understand by the terms potential difference? State its practical unit
Answer:
Potential difference: “Is the amount of work done in moving a unit positive charge from one point to other.” Practical unit – volt.
Question 7.
Define
(a) open electric circuit
(b) closed electric circuit.
Answer:
(a) Open electric circuit : “An electric circuit in which low of current stops, because of an open switch is called an open_electric circuit.
(b) Closed electric circuit : “An electric circuit in which a current flows continuously, because the switch is closed is called a closed electric .

Question 8.
What do you understand by the term electric resistance? state its practical unit.
Answer:
“The obstruction offered to the flow of current by a conductor (wire) is called its RESISTANCE.”
S.l. UNIT — is 1/OHM or (Ohm)-1
Question 9.
What do you understand by the term electric conductance? State its practical unil
Answer:
“The reciprocal of resistance is called electric CONDUCTANCE”. i.e.
Conductance = 1/Resistance
S.l. Unit of Conductance Ω-1 or OHM-1
Question 10.
What is a superconductor ? Name two materials and the temperature at which they become superconductors.
Answer:
SUPER CONDUCTOR : “The substances which lose resistance when they are cooled to very low temperature (nearly absolute zero) are called super conductors, e.g. mercury at 4.12 k, LEAD. TIN, VANADIUM etc. and this phenomenon is called SUPER CONDUCTIVITY. The temperature at which they become super-conductors is called CRITICAL TEMPERATURE.
Question 11.
State the laws of resistance.
Answer:
Laws of resistance :
- Resistance of a conductor is directly proportional to its length R α l
- Resistance of a conductor is Inversely proportional to its area of cross-section R α 1/a
- Resistance of a conductor depend upon its nature i.e. copper has less resistance than iron.
- Resistance of a conductor increases with increase in temperature i.e. resistance of filament of a bulb is more when lighted as compared to when it is not lighted.
Question 12.
Define specific resistance and state its unit in CGS and SI system.
Answer:
Specific resistance: “Is the resistance of a wire of that material of unit length and unit area of cross-section.”
Unit:
In C.G.S. system → [Ω – cm] ohm – cm
In S.I. system → [Ω – m] ohm – metre.
Question 13.
Name two materials in each case whose resistance
(a) increases,
(b) remains the same and
(c) decreases with the rise in temperature.
Answer:
Two materials:
- Cu, iron, sp. resistance increases Tungston with increase in temp.
- Metallic alloys like eureka, Manganin and German silver The sp. resistance remains the same with rise in temp.
- Carbon and Rubber. Resistance decrease with increase in temperature.
Question 14.
Give two differences between the electric resistance and electric specific resistance of a material
Answer:
Two differences between resistance and sp. resistance.
Resistance :
- S.I. unit is ohm (Ω)
- It is measured as ratio of pot. difference at the ends of a conductor to the current flowing through the conductor.
Resistivity or sp. Resistance :
S.I. unit [Ω-m] ohm. metre. It is measured as the resistance offered by a conductor of unit length and unit area of cross-section.
Multiple choice questions
Tick ( ✓) the most appropriate option.
Question 1.
The graph between V/I for a conductor is a straight line. The slope of the graph represents :
(a) resistivity
(b) resistance
(c) electric potential
(d) none of these
Answer:
(b) resistance
Question 2.
Two conductors A and B have 500 and 100 units of . negative charge when the conductors are connected by
an electric wire the conventional current flows from :
(a) A to B
(b) B to A
(c) Current does not flow
(d) none of these
Answer:
(b) B to A
Question 3.
A conductor at 4.2 K is found to offer no resistance. Such a conductor is called
(a) zero conductor
(b) superconductor
(c) absolute conductor
(d) none of these
Answer:
(b) superconductor
Question 4.
Which of the following is non-ohmic resistance ?
(a) Copper wire
(b) Brass wire
(c) Copper wire wound on an electromagnet
(d) Constantan wire
Answer:
(b) Brass wire
Question 5.
Which of the following an ohmic resistance ?
(a) Diode valve
(b) Filament of a bulb
(c) Carbon are light
(d) Manganin wire
Answer:
(d) Manganin wire
Question 6.
A conductor has a resistivity of 2.63 × 10-8 Ω m at 20° C. If the temperature of conductor is raised to 200°C, its resistivity will :
(a) increase
(b) decrease
(c) remain unaffected
(d) none of these
Answer:
(a) increase
Question 7.
Amongst the following substance, the resistance will decrease with the increase in temperature in case of:
(a) copper
(b) carbon
(c) brass
(d) nichrome
Answer:
(b) carbon
Numericals on Specific Resistance
Practice Problems : 1
Question 1.
A wire of resistance 4.5 Ω and length 150 cm, has an area of cross-section of 0.04 cm-2. Calculate sp. resistance of the wire.
Answer:

Question 2.
A wire of length 40 cm and area of cross-section 0.1 mm2 has a resistance of 0.8 fl Calculate sp. resistance of the wire.
Answer:
I = 40 cm, area of cross-section a = 0.1 m m2 = 0.1/100 c m2 R = 0.8 Ω

Practice Problems : 2
Question 1.
Resistance of a conductor of length 75 cm is 3.25 Ω. Calculate the length of a similar conductor, whose resistance is 13.25Ω.
Answer:

Question 2.
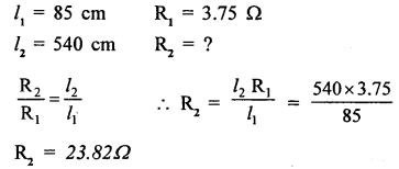
A conductor of length 85 cm has a resistance of 3.750. Calculate the resistance of a similar conductor of length 540 cm.
Answer:

Practice Problems : 3
Question 1.
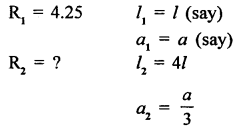
A resistance wire made from German silver has a resistance of 4.250. Calculate the resistance of another wire, made from same material, such that its length increases by 4 times and area of cross-section decreases by three times.
Answer:


Question 2.
A nichrome wire of length l and area of cross-section a/ 4 has a resistance R. Another nichrome wire of length 31 and area of cross-section a/2 has a resistance of R1 Find the ratio of R, : R.
Answer:
As both the wire are made of same material, have same sp. resistance

Exercise – 2
Question 1.
(a) Define series circuit.
Answer:
(a) Series circuit: “Resistances are said to be connected in series if same current flows through them and the resistance are connected end to end.
(b) State three characteristics of a series circuit Ans. Characteristics of series circuit:
Answer:
- Same current flows through each resistance.
- V = V1 + V2 + V3 …. i.e. total potential drop is the sum of individual resistances.
- When we want higher resistance, connect them in series. (Resistance is more than individual resistances).
Question 2.
(a) Define parallel circuit.
Answer:
Parallel circuit : “Resistances are said to be connected in parallel if one end of each is connected at a common terminal and other end of each at other common terminal and they have a common pot. difference.”
(b) State three characteristics of a parallel circuit.
Answer:
Characteristics of parallel circuit:
- Pot. difference of each resistance is same.
- Current divides [I = I1 + I2 + I3…]
- I/R = I/R1 + I/R2 + I/R3 reciprocal of total resistance is the sum of reciprocals of individual resistances.
- Total resistance is less than the least of individual resistances.
Question 3.
(a) Stale Ohm’s law.
Answer:
Ohm’s Law : “Physical conditions like temp. remaining the same potential across the ends of a conductor is directly proportional to the current flowing”.
(b) What are the limitations of 0hm‘s law?
Answer:
Ohms’Law is obeyed only when temperature remains constant.
Question 4.
How will you verify Ohm’s law by voltmeter, ammeter method?
Answer:

Verification of Ohm’s Law: Use the circuit as shown taking case the +ve of voltmeter and +ve of Ammeter should be connected to the +ve of battery and voltmeter in parallel key is closed and Rheostat is set to get the minimum reading in Ammeter and voltmeter. The rheostat is then gradually moved
and each time value of A and V are noted. The ratio of V/I is always found constant. This verified ohm’s law.
Question 5.
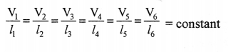
How will you verify Ohm’s law by potentiometer method?
Answer:
Potentiometer method to verify

Connect the potentiometer as shown, close the key and record the potential difference by pressing the jockey at 10 cm intervals of length of the potentiometer wire. Repeat the experiment for six different lengths of potentiometer wire and record the corresponding pot. differences.

Find the ratio between potential difference and length. It is found.

V/l = constant (I) (where I is current and the current in series circuit is constant quantity)
But l α R {By law of resistance}
V/R = I or I = V/R
Hence ohm’s law is verified.
Question 6.
What are ohmic resistances ? Given two examples.
Answer:
Ohmic resistances : “Conductors which obey ohm’s law are called ohmic resistances.”
Two examples : Vanadium, all pure metals like Cu, Al, etc.
Question 7.
What are non-ohmic resistances ? Give two examples.
Answer:
Non-ohmic resistances: “The resistances which do not obey ohm’s law are called non-ohmic resistances.”
Two examples : Diode valve, triode valve, transistors, filament of a bulb.
Question 8.
Derive an expression for three resistances connected in series.
Answer:
EQUIVALENT RESISTANCE OF RESISTORS
(i) in PARALLEL :

Let three resistors are connect in such away that one end of each R1, R2, R3 is connected at a common terminal (X) and the other end of each at common terminal (Y) through a battery. So that potential difference of each resistor is V and current I at X divides itself and I1, I2 and I3 flows through R,, R, and R3 respectively and again combine at y and current I flows further.
I = I1 + I2 + I3 …(i) we know that

EQUIVALENT or RESULTANT resistance of parallel conductors
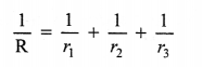
The reciprocal of EQUIVALENT RESISTANCE is equal to the sum of the reciprocals of individual resistors.
EQUIVALENT RESISTANCE OF RESISTORS
In (ii)

Let three resistors R1, R2, and R3, be connected in series i.e. resistors are joined one after the other as shown and same current I passes through each and each resistors has potential difference say V,, V, and V3 so that total p.d. between A and D terminals is V
V = V1 + V2 + V3 …(i) V = IR
IR = I R1 + IR2 + IR3 V1 = IR1
IR = I[R1 + R2 + R3] V2 = IR2
V3 = IR3 put in (i)
R = R1 + R2 + R3
i. e. EQUIVALENT RESISTANCE of resistors in series is the sum of their individual resistance.
Question 9.
Derive an expression for three resistances connected in parallel.
Answer:
To derive relation for resultant resistance of three resistances in parallel, consider three resistances

- r1, r2, r3 One end of each is connected to common terminal X and other end of each at common terminaly.
- Here current I divides into I1, I2, I3, flowing through r1, r2, r3 and potential difference is v for all resistances.


Question 10.
What do you understand by the term internal resistance of a cell ?
Answer:
INTERNAL RESISTANCE OF A CELL :
“The resistance offered by the electrolyte inside the cell to the flow of current is called the internal resistance of cell.

Question 11.
State the factors on which internal resistance of a cell depends.
Answer:
Factors effecting the internal resistance of a cell :
- Surface area of electrodes larger surface area, lesser is the internal resistance.
- Distance between electrodes : more the distance, more is the internal resistance.
- Temp, of electrolyte r α 1/T
- Higher the concentration of electrolyte greater is internal resistance.
Question 12.
What is the difference between emf and terminal voltage of a cell ?
Answer:
Difference between e.m.f. and terminal voltage :
Terminal voltage : When current is drawn from a cell i.e. the cell is in a closed circuit, the potential differences between the electrodes (terminals) of a cell is called terminal voltage,
e.m.f. : “when no current is drawn from a cell i.e. when the cell is in open circuit, the pot. difference between the terminals of the cell is called electromotive force, (e.m.f.).
Multiple choice questions
Tick ( ✓ ) the most appropriate option.
Question 1.
In a series circuit:
(a) p.d. across all resistors is same
(b) current flowing through all resistors is same
(c) The combined resistance of all resistors is less than individual resistors.
(d) none of the above
Answer:
(b) current flowing through all resistors is same
Question 2.
In a parallel circuit:
(a) p.d. across all resistors is same
(b) current flowing through all resistors is same
(c) the equivalent resistance of all resistors is more than any of the individual resistors
(d) none of the above
Answer:
(a) p.d. across all resistors is same
Question 3.
Two resistors of 2 Ω. each are connected in a parallel. The equivalent resistance is :
(a) less than 2 Ω but more than 1Ω
(b) one ohm
(c) four ohm
(d) between 4 Ω and 2 Ω
Answer:
(b) one ohm
Question 4.
A new cell is marked 1.5 V. When connected to an external resistance, the voltmeter connected to its terminals reads 1.2 V. The drop in potential across the terminals of the cell is due to the :
(a) internal resistance of cell
(b) external resistance .
(c) both (a) and (b)
(d)none of these
Answer:
(a) internal resistance of cell
Question 5.
A potentiometer is connected to a cell through switch in series. To one end of the potentiometer is attached a voltmeter with the help of connecting wire and a jockey. When the jockey is moved over the potentiometer wire from zero end to 100 cm the reading shown by voltmeter is likely to :
(a) decrease
(b) increase
(c) does not change
(d) none of these
Answer:
(b) increase
Question 6.
When the current is drawn from a cell in a closed circuit, the potential difference between the terminals of cell is called :
(a) e.m.f.
(b) p.d.
(c) terminal voltage
(d) both (a) and (b)
Answer:
(c) terminal voltage
Numerical Problems on Resistance
Practice Problems : 1
Question 1.

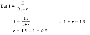
Calculate the equivalent resistance.
- between points A and B
- between points A and C.
Answer:
Resistance 6Ω, 3Ω and 2Ω are in parallel between A and B
- Equivalent resistance between AB is R1 ∴ R1 = 1Ω
Now combination R1 and 1Ω of BC are in series. - Now between points A and C R = R1 + 1 = 1 + 1 = 2Ω
Question 2.
In figure, calculate equivalent resistance between points

(i) A and B
(ii) B and C
(iii) A and C.
Answer:
(i) Equivalent resistance between AB 4Ω and 12 Ω are in parallel

(iii) Between A and CD
Now R1 and R2 and in series
Equivalent Resistance between A and C
1 R = R1 + R2 = 3 + 4 = 7Ω
Practice Problems : 2
Question 1.
Calculate the equivalent resistance between points
(i) B and E
(ii) A and F.

Answer:
(i) Equivalent Resistance between BE, (1Ω, 2Ω, 3Ω are in series) isR1
R1 = 1 + 2 + 3 = 6Ω
R1 is in parallel to R2 = 3Ω
their resultant R.3
1/r3 = 1/r1 +1/r2 = 1/6 + 1/3 = 1+2/6 = 1/6 Between BE
:.R3 = 2Ω
(ii) Equivalent resistance between A and F
i.e. R4, R2, Rs are in series
3Ω, 2Ω and 3Ω are in series
R= 3 + 2 + 3 = 812
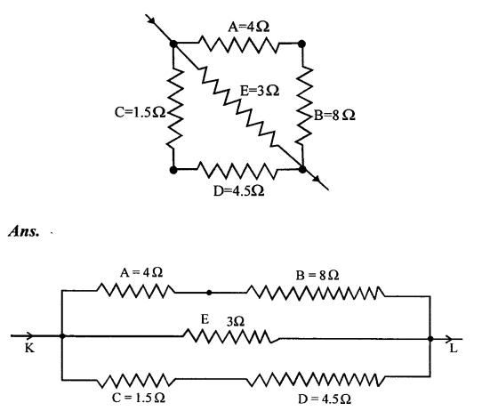
Question 2.
Calculate the equivalent resistance of circuit diagram shown in Fig. below.

Resistances A and B are in series
R1 = 4 + 8 = 12Ω
Resistance C and D are in series
R2 = 1.5 + 4.5 = 6Ω
Now R1, E and R2 are in parallel
:. Equivalent resistance between F and G

Practice Problems : 3
Question 1.
Equivalent resistance of circuit diagram is 6Ω. Calculate the value of x.

Question 2.
Equivalent resistance of circuit diagram is 5Ω. Calculate the value of x.

Answer:
Since Equivalent resistance of 4Ω and parallel combination is 5Ω and 4Ω and parallel combination are in series.
Resistance of parallel combination is = 5 – 4= lΩ

Numerical Problems on Ohm’s Law
Practice Problems : 1
Question 1.
A current of 0.2 A flows through a conductor of resistance 4.50. Calculate p.d. at the ends of conductor.
Answer:
Here I = 0.2 A, R = 4.5Ω
p.d. at the ends of conductor V = IR
V = 0.2 × 4.5 = 0.9 V
Question 2.
A bulb of resistance 4000 is connected to 200 V mains. Calculate the magnitude of current.
Answer:
R = 400Ω, V = 200 V
I = V/R 200/400 = 0.5 A
Question 3.
An electric heater draws a current of 5 A, when connected to 220 V mains. Calculate the resistance of its filament.
Answer:
I = 5 A, V = 220 V, R = ?
R = v/I = 220/5 = 44Ω
Practice Problems : 2
Question 1.
Four resistors of resistance 0.5 Ω, 1.5Ω, 4Ω and 6Ω are connected in series to a battery of e.m.f. 6 V and negligible internal resistance. Calculate :
- current drawn from the cell
- p.d. at the ends of each resistor.
Answer:

Question 2.
Figure shows a circuit diagram having a battery of 24 V and negligible internal resistance. Calculate :
- reading of the ammeter,
- reading of V1, V2 and V3.

Answer:
As 6Ω and 3Ω are in parallel

Practice Problems : 3
Question 1.
Three resistors of 6Ω, 2Ω and x are connected in series to a cell of e.m.f 3/2 V, when the current registered in circuit is 1/6 A. Draw the circuit diagram and calculate value of x
Answer:
Circuit diagram:

Question 2.
Carefully study the circuit diagram in figure and calculate the value of resistor x.

Answer:


Practice Problems : 4
Question 1.
Three resistors of 4Ω, 6Ω. and 12Ω are connected in parallel The combination of these resistors is connected in series to a resistance of 2Ω and then to a battery of e.m.f 6 V and negligible internal resistance.
(a) Draw the circuit diagram
(b) Calculate the current in main circuit
(c) Calculate the current in each of the resistors in parallel
Answer:
(a) Circuit diagram


Question 2.
Study the circuit diagram in figure carefully and calculate:
(a) current in main circuit
(b) current in each of the resistors in parallel circuit.



Practice Problems : 5
Question 1.
Figure shows a circuit diagram containing 12 cells, each of e.m.f 1.5 V and intenal resistance 0.25Ω Calculate:

(a) Total internal resistance
(b) Total e.m.f.
(c) Total external resistance
(d) Reading shown by the ammeter
(e) Current in 12Ω and 8Ω resistors
(f) p.d. across 2.2 resistor
(g) Drop in potential across the terminals of the cell
Answer:
Number cells in series = n – 12
(a) Total internal resistance of 12 cells = n r = 12 × 0.25 = 3Ω
(b) Total e.m.f. = 12> <1.5 = 18 v
(c) Total external resistance : 4 + 8 = 12 Ω in series



Question 2.
Four cells, each of e.m.f 2 V and internal resistance 0.2 Ω each are connected in series to form a battery. This battery is connected to an ammeter, a resistance 1.2 and then to a set of resistance of 4 Ω, 6 Ω and 12 Ω in parallel to complete the overall circuit in series.
(a) Draw circuit diagram of arangment.
(b) Calculate total internal resistance
(c) Total e.m.f.
(d) Current recorded by ammeter.
(e) Current flowing through 6 wire in parallel.
(f) Drop in potential across the terminals of the battery.
Answer:
(a) Circuit diagram :

(b) Total internal resistance r = 4 × 0.2 = 0.8 Ω
(c) Total e.m.f. = 4 × 2 = 8 v
(d) Current recorded by ammeter ?
R1 across CD 1/R1 = 1/4 + 1/6 + 1/12 = R1 = 2 Ω
Total resistance (0.8 + 1.2 + 2) = 4 Ω
I = v/R = 8/4 = 2a
(e) Vacross CD = I R1= 2 × 2 = 4 V
Current through 6 Ω = v/R = 4/6 = 0.67 A
(f) droop in potential across the terminals of the battery E – V = Ir = 2 × 0.8 = 1.6 V
Practice Problems : 6
Question 1.
Two cells, each of e.m.f 1.5 V and internal resistance 1 Ω are connected in parallel, to form a battery. The battery is connected to an externari resistance of 0.5 Ω and two resistances of 3 Ω and 1.5 Ω in parallel.
(a) Draw the circuit diagram.
(b) Calculate the current in main circuit.
(c) Calculate the current in 1.5 Ω resistor.
(d) Calculate the drop in potential across the terminal of the battery.
Answer:
(a) Circuit diagram

(b) Current in the main circuit
Total internal resistance of two parallel cells I/R1 = 1 + 1
R = 1/2 = O.5 Ω
Effective resistance between PQ = 1/R2 = 1/3 + 2/3
R2 = 1 Ω
Total resistance of circuit R = R1 + R2+ external resistance
R= O.5 + I + O.5 = 2Ω, V= 1.5 V
current in main circuit
I = V/R = 1.5/2 = O.75 A
(c) Current in 1 .5 Ω resistor
p.d. between PQ = IR2
V1 = 0.75 × 1
V1 = 0.75 V
V1 = 0.75
I1= V1/1.5 = 0.75/1.5 = O.5 A
(d) Drop in potential across the terminals of battery E – V = Ir = 0.75 × 0.5 = 0.375 V
Question 2.
Four cells, each of e.m.f. 1.5 V and internal resistance 2 Ω. each are connected in parallel to form a battery. The battery is connected to an external resistance of 0.5 Ω. and three resistances of 12 Ω, 6 Ω and 4 Ω. in parallel.
- Draw the circuit diagram.
- Calculate current in main circuit
- Calculate current in 4 D resistor.
- Calculate drop in potential across the terminals of battery.
Answer:
1.circuit diagram is drawn

4. Drop in potential across the terminals of battery
E – V = 1r
= 0.5 × 0.5 = 0.25 V
Practice Problems : 7
Question 1.
A cell of e.m.f 1.5 V, records a p.d. of 1.35 V, when connected lo an external resistance R, such that current flowing through circuit is 0.75 A. Calculate the value of R and internal resistance of cell
Answer:

Question 2.
In figure a current of 1 A flows through the circuit, when p.d. recorded at the ends of parallel resistors is 1 volt. Calculate the value of R and r.

Answer: For parallel resistors


Practice Problems : 8
Question 1.
A cell of e.m.f 1.8 V is connected to an external resistance of 2 Ω, when p.d. recorded at the ends of resistance is 1.6 V. Calculate the internal resistance of the cell.
Answer:
I = V/R

Question 2.
Study ttitel circuit diagram in Fig. 8.44, and hence, calculate the internal resistance of cel 
Practice Problems 9
Question 1.
A cell, when connected to an external resistance of 4.5 Ω shows a p.d of 1.35 V. If 4.5 Ω resistance is replaced by 2.5Ω resistance the p.d drops to 1.25 V. Calculate:
(a) em.f.,
(b) internal resistance of the cell
Answer:
Let ‘E’ be the e.m.f and ‘r’ the internal resistance
Case(l) r = R [e-v]/v

Question 2.
Study the figures carefully and hence calculate the value of E and r.

Answer:

Questions from ICSE Examination Papers
2003
Question 1.
Study the diagram carefully and calculate :
(a) the equivalent resistance between P and Q.

(b) the reading of the ammeter.
(e) the electrical power between P and Q.

2004
Question 2.
Mention two factors which determine the internal resistance of a cell.
Answer:
The internal resistance of a cell depends on
- Surface area of electrodes and
- distance between the electrodes.
2005
Question 3.
Four resistances of 2.0Ω each are joined end to end to form a square A B C D. Calculate the equivalent resistance of the combination between any two adjacent corners.
Answer:
Resistors R1, R2 and R3 are in series, therefore their equivalent resistance is Rs = R1 + R2 + R3= 2 + 2 + 2 = 6 ohm.

Now Rs and R4 are in parallel, therefore equivalent resistance of the combination between two adjacent corners is
1/Rp = 1/Rs + 1/R4 = 1/6 + 1/2 = 2/3
Therefore Rp = 1.5 ohm.
Question 4.
The figure shows three ammeters A, B and C. The ammeter B reads O. 5 A. If all the ammeters have negligible resistance calculate: Calculate:

- the readings in the ammeters A and C
- the total resistance of the circuit

2006
Question 5.
A wire of uniform thickness with a resistance of 27 Ω is cut into three equal pieces and they are joined in parallel. Find the resistance of Ike parallel combination.
Answer:
A wire is cut into 3 peices
Also Resistance of wire is proportional to length
Resistance ∝ l
Let length of wire =3l = 27Ω
Resistance of each piece, l = 27/3 = 9 Ω
When connected in parallel Resultant resistance of combination
R is 1/R = 1/9 + 1/9 + 1/9 = 3/9 = 1/3
∴R= 3Ω
Question 6.
Mention two factors on which the resistance of a wire depends.
Answer:
Two factors are
- length of wire R ∝ ¡
- Area of cross-section of wire
R ∝ 1/a
Question 7.
In the figure below, the ammeter A reads 0.3 A. Calculate :-
(a) the total resistance of the circuit.
(b) the value of R.
(c) the current flowing through R.

2007
Question 8.
The V-I graph for a series combination and for a parallel combination of two resistors is as shown in the figure below:

Which of the two, A or B, represents the parallel combination? Give a reason for you answer.
Answer:
Slop of V-I graph gives us the resistance of the resistor. Slope of A is less, therefore, combination A has less resistance as compared to B. Further, since the net resistance decreases in parallel combination, therefore, A represent the parallel combination.
Question 9.
Calculate the value of the resistance which must be connected to a 15 Ω resistance to provide an effective resistance of 6 Ω.
Answer:
As the effective resistance is 6 Ω less than 15 Ω
∴ Resistance R must be connected in parallel with 15 Ω
1/15 + 1/R = 1/6 = 1/R = 1/6 – 1/15 = 5—2/30 = 1/10
∴R=10Ω
Question 10.
A cell of e.m.f. 1.5 V and internal resistance 1.0Ω is connected to two resistors of 4.0Ω and 20.0 Ω in series as shown in the figure:

- current in the circuit.
- potential difference across the 4.0 ohm resistor.
- voltage drop when the current is flowing.
- potential difference across the cell.
Answer:
Here e.m.f., E = 1.5 V
Internal resistance 1.0 Ω
All the resistances are connected in series
The total circuit resistance, R= 1 + 4 + 20 = 25Ω

The current,i = E/R =1.5/25 = O.06 A
Potential difference across 4 Ω resistance = r × i = 4 × 0.06 = 0.24 V
Voltage drop across the cell = 0.06 × 1
= 0.06 V
Potential difference across the cell = 1.5— 0.06
= 1.44 V
2008
Question 11.
- Sketch a graph to show the change in potential difference across the ends of an ohmic resistor and the current flowing in it Label the axis of your graph.
- What does the slope of the graph represent?
Answer:
(i)

Question 12.
Three resistors of 6.0 Ω 2.0 Ω and 4.0 Ω respectively are joined together as shown in the figure. The resistors are connected to an ammeter and to a cell of e.m.f. 6.0 V.
Calculate:
(i) tile effective resistance of the circuit.
(ii) the current drawn from the cell
Answer:

2009
Question 13.
The equivalent resistance of the following circuit diagram is 4Ω Calculate the value of x.
Answer:
(i) Equivalent resistance = 4Ω , 5Ω , × Ω are in series
∴ R1 (5 + x)Ω
8Ω and 4Ω are in series
R2 = 8 + 4 = 12Ω
R1 and R2 are in parallel

3 (5 +x) 5 + x + 12
15 + 3 x = x+ 17
3 x – x = 17-15 = 2
2 x = 2
x = 2/2 = 1Ω
Question 14.
- Stale Ohm’s Law.
- Diagrammatically illustrate how you would connect a key, a battery, a voltmeter, an ammeter, an unknown resistance R and a rheostat so that it can be used to verify the above law ?
Answer:
- Ohm’s law states that current flowing in a conductor is directly proportional to the potential difference across its ends provided the physical conditions remains constant.
I ∝ V or V = IR
Verification of Ohm’s Law: Use the circuit as shown taking case the +ve of voltmeter and +ve of Ammeter should be connected to the +ve of battery and voltmeter in parallel key is closed and Rheostat is set to get the minimum reading in Ammeter and voltmeter. The rheostat is then gradually moved
and each time value of A and V are noted. The ratio of v/I is always found constant. This verified ohm’s law.
2010
Question 15.
Six resistances are connected together as shown in the figure. Calculate the equivalent resistance between the points A and B.

Answer:
Clearly, the resistance of 2Ω, 3Ω and 5Ω are in series. Total resistance is 2Ω + 3Ω + 5Ω = 10Ω and the circuit reduces to as shown. Now, 10Ω and 10Ω are in parallel, there combined resistance R’ is:

Question 16.
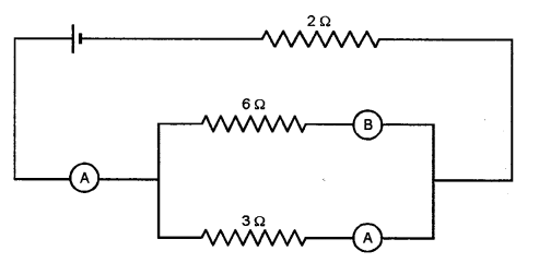
(a)
- A substance has nearly zero resistance at a temperature of 1 K. What is such a substance called ?
- State any two factors which affect the resistance of a metallic wire.
(b) Five resistors of different resistances are connected together as shown in the figure. A 12 V battery is connected to the arrangement. Calculate :
- the total resistance in the circuit.
- the total current flowing in the circuit.

Answer:
(a)
- Superconductor
- The resistance of a metallic wire is affected by
(a) Its area of cross-section. Ra%
(b) Length of conductor R ∝ 1/a
(b) To solve the above Question, we have to first find the total resistance of the circuit.
- Here we find that R1 and R2 are in parallel and their
combined resistance R’ is given by R’= 10 × 40/10+40 = 8Ω
Also, the resistances of 30Ω, 20Ω and 60Ω are in parallel and their combined resistance R” is given by
1/R” = 1/30 + 1/20 + 1/60
= 2 + 3 + 1/60 = 6/60
R” = 60/6 = 10Ω
Now, R’ and R” are in series and their combined resistance R is given by .
R = R’ + R” = 8Ω + 10Ω = 18Ω
.’. Total resistance in the circuit = 18Ω

Question 17.
(a) Calculate the equivalent resistance between the points A and B from as shown in fig.

(b)
- Draw a graph of Potential difference (V) versus Current (I) for an ohmic resistor.
- How can you find the resistance of the resistor from this graph ?
- What is a non-ohmic resistance ?
(c) Three resistors are connected to a 12 V battery as shown in the figure given below :

- What is the current through the 8 Q resistor ?
- What is the potential difference across parallel combination of 6 Q and 12 Q ?
- What is the current through the 6 Q resistor ?
Answer:
(a)
- 2 + 3 = 5Ω are in series
6 +- 4 = 10Ω are in series
5, 30, 10Ω are connected in parallel

(b)
- V – 1 for ohmic resistor

- Resistance can be found by finding the reading of V corresponding to I from graph.
R = V/I - Non-Ohmic Resistance : “The resistors which do not obey the Ohm’s Law are called non-ohmic resistors.”

r2, r3 are in parallel
1/Rp = 1/12 +1/6 = 3/12 = 1/4
Rp = 4
r1 and Rp are in series
:. R = r1 + r = 8 + 4 = 12Ω
- I = v/R = 12/12 = I A
- P.D across parallel combination AB
V = I Rp
I × 4 = 4 V - Current through 6Ω
I = v/r3 = 4/6 = 0.666
I = 0.67 A
2012
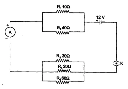
Question 18.
(a) Calculate the equivalent resistance between P and Q in the following diagram:

(b) A cell is sending current in an external circuit. How does the terminal voltage compare with the e.m.f of the cell?
(c) Three resistors are connected to a 6 V battery as shown in the figure in 8.59.

Calculate:
- the equivalent resistance of the circuit.
- total current in the circuit.
- potential difference across the 7.2 c resistor.
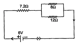
Answer:
(a)

- r1, r2 are in series
Rs = 10 + 10 = 20 Ω
Rs and r3 are in parallel
1/Rp between A and B = 1/20+ 1/5 = 5/20= 1/4
∴ Rp = 4
Now r4, Rp and r5 are in series
∴ R = 3 + 4 + 3 = 10Ω
(b) When cell is sending current in an external circuit i.e. current is drawn from the cell, its TERMINAL VOLTAGE ‘V’ is less than its e.m.f. (E) by an amount equal to the voltage drop inside the cell.

2013
Question 19.
(a) Calculate the equivalent resistance between the points A and B for the following combination of resistors :

(b)
- State Ohm’s law.
- A metal wire of resistance 6Ω is stretched so that its length is increased lo twice the original length. Calculate Ike new resistance.
(c) The figure shows a circuit when the circuit is switched on, the ammeter reads 0.5 A. 6.0 V
- Calculate the value of the unknown resistor R.
- Calculate the charge passing through the 3Ω resistor in 120 s.
- Calculate the power dissipated in the 3Ω resistor.
Answer:
( a) Resistance of three 4Ω resistors in series = 4 × 3 = 12Ω Resistance of three 2Ω resistors in series = 2 × 3 = 6Ω
∴ Equivalent resistance of 12Ω, 6Ω and 4Ω in parallel.
1/Rp = 1/12 + 1/6 + 1/4 = 1 + 2 + 3/12 = 1/2 ⇒ Rp = 2 Ω
Equivalent resistance of 5Ω, 2Ω and 6Ω in series.
R = (5 + 2 + 6) 0 = 13Ω

(b)
- Ohm’s Law : It states, all physical conditions of a conductor remaining same, the current flowing through it is directly proportional to the potential difference at its ends.
- Let the original length be (l) and area of cross-section (a), such that its resistance is 6Ω
Applying, R = K 1/a ⇒6 = kl/a …(i)
When the length 2 l, its area of cross-section becomes a/2. If
R ¡s the new resistance of conductor then :
R = k 2 l/a/2 = 4 k l/a …..(ii)
Dividing (ii) by (i) R/6 = 4 R= 24 Ω
(c)
- I = v/R 0.5 = 6/R +3
0.5 R + 1.5 = 6 ⇒ 0.5 R = 4.5 ⇒ R = 9 Ω - Charge Q = I x t = 0.5 x 120 = 60 Coulombs
- Power dissipated, P = I x V = 0.5 x 6 = 3 Watt.
2014
Question 20.
Find the equivalent resistance between points A and B in the following figure.
Answer:


Question 21.
(a) Two resistors of 4 Ω and 6 Ω are connected in parallel to a cell to draw a current of 0.5 A from the cell.
- Draw a labelled circuit diagram showing the above arrangement.
- Calculate the current in each resistor.
(b)
- What is an Ohmic resistance ?
- Two copper wires are of the same length, but one is thicker than the other.
(i) Which wire will have more resistance?
(ii) Which wire will have more specific resistance?
Answer:
(a)
- I = V/R V = I R

- Let current through 4 Ω resistance is I then current through 6Ω resistance is (0.5 — 1)
… 1 × 4 = (0.5-1) × 6
4 I = 3 – 61
4 I + 6 I= 3
10I = 3
1 = 0.3 A
∴ Current through 4 Ω resistance = 0.3 A
and current through 6 Ω resistance = 0.5 – 0.3 = 0.2 A
(b)
- Ohmic Resistors : The resistors which obey Ohm’s law are called the Ohmic resistors or linear resistances. For such resistors, a graph plotted for the potential difference V against current I is a straight line.
- (i) Thin wire will have more resistance.
(ii) Specific resistance of both wire is same.
2015
Question 22.
(a) What happens to the resistivity of semi-conductor with the increase in temperature?
(b) Fig. the equialent resistance between point A and B.

Answer:
(a) The resistivity of a semiconductor decreases with increase in temperature.
(b) Let RP be the equivalent resistance of the resistors 12Ω, 6 Ω and 4 Ω connected in parallel. Hence, we have
I/Rp = 1/12 + 1/6 + 1/4 = 1 + 2 + 3/12 = 1/2
Rp = 2 Ω
Therefore, the equivalent resistance of the circuit is 2
2 Ω + Rp + 5 Ω = 2 Ω + 5 Ω = 9 Ω
Thus, the equivalent resistance between points A and B is 9 Ω
Question 23.
(a) The relationship between the potential difference and the current iii a conductor is stated in the form of a law.
- Name the law.
- What does the slope of V-I graph for a conductor represent?
- Name the material used for making the connecting wire.
(b) A cell of Emf 2 V and internal resistance 1.2 Ω is connected with an ammeter of resistance 0.8 Ω and two resistors of 4.5 Ω and 9 Ω as shown in the diagram below:

- What would be the reading on the Ammeter?
- What is the potential difference across the terminals of the cell?
Answer:
(a)
- The relationship between the potential difference and the current in a conductor is given by Ohm’s law.
- The slope of the V—I graph gives the resistance of the conductor.
Slope R = v/I = R
The material used for making connecting wires is copper.
(b) Given that =2 V, r = I.2 Ω , RA = O.8 Ω ,R1 = 4.5 Ω , R2=9 Ω
- We know that for the circuit
= IR total
Now, the total resistance of the circuit is
R total = r + RA + Rp
1/Rp = 1/4.5 + 1/9 = 3/9
Rp = 3 Ω
R total = 1.2 +0.8 +3 = 5 Ω
Hence, the current through the ammeter is

I = v/R total = 2/5 = 0.4 AB
⇒ 0.48 = 2 – V-I
V= 2 – 4.8 – 1.52 V
:. Potential difference Vcell 1.52 V
2016
Question 24.
(a) The V-I graph for a series combination and for a parallel combination of two resistors is shown in the figure below. Which of the two A or B. represents the parallel combination? Give reasons for your answer.

(b) A music system draws a current of 400 m A when connected to a 12 V battery.
- What is the resistance of the music system?
- The music system f left playing for several hours and finally the battery voltage drops and the music system stops playing when current drops to 320 m A. At what voltage the music
system stops playing?
(c) A battery of emf 12 V and internal resistance 2Ω is connected with two resistors A and B of resistance 4 Ω and 6 Ω respectively joined in series.

Find:
- Current in circuit
- The terminal voltage of the cell
- P.D. across 6 Ω resistor.
- Electrical energy spent per minute in 4 Ω resistor.
Answer:
(a) A represents Parallel Combination
Reason : More current flows in parallel combination as compared to series combination.
(b)
- (i) Given : I = 400 m A = 400 × 10-3 A
V=12 V
V=IR
R = v/1 = 12 v/400 × 10-3 A
R- 400× 10-3 A
R = 30Ω - Current drops to I = 320 m A = 320 × 10-3 A
The music stops playing at
V = IR
V = 320 × 10-3 × 30
V = 9.6 V
(C) Given, Emf (E) = 12 V; r1 = 2Ω ; RA = 4Ω ; RB = 6Ω
- The current in the circuit is
1= E/Rtotal = E/R1 + RA + RB
I = 12/2 + 4 + 6 = IA - The terminal voltage of the cell is
Terminal Voltage = Emf- Ir,
Terminal Voltage= 12 – (1 × 2) = 12 – 2 = 10 V - The potential difference across the 6 Ω resistor is
VB = IRB
∴ VB = 1 x 6 = 6 V - The electrical energy spent per minute (= 60 s) is
E = I2Rt
E= 12 × 4 × 60 = 240 J