Selina Concise Mathematics Class 10 ICSE Solutions Ratio and Proportion (Including Properties and Uses)
Selina Publishers Concise Mathematics Class 10 ICSE Solutions Chapter 7 Ratio and Proportion (Including Properties and Uses)
Ratio and Proportion Exercise 7A – Selina Concise Mathematics Class 10 ICSE Solutions
Question 1.

Solution:

Question 2.
If x: y = 4: 7, find the value of (3x + 2y): (5x + y).
Solution:

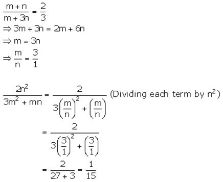
Question 3.
![]()
Solution:

Question 4.
If (a – b): (a + b) = 1: 11, find the ratio (5a + 4b + 15): (5a – 4b + 3).
Solution:

Question 5.

Solution:

Question 6.

Solution:

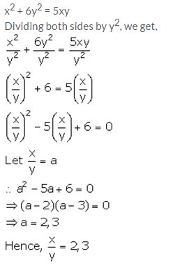
Question 7.
![]()
Solution:

Question 8.

Solution:

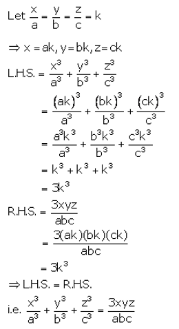
Question 9.

Solution:

Question 10.
A school has 630 students. The ratio of the number of boys to the number of girls is 3 : 2. This ratio changes to 7 : 5 after the admission of 90 new students. Find the number of newly admitted boys.
Solution:

Question 11.
What quantity must be subtracted from each term of the ratio 9: 17 to make it equal to 1: 3?
Solution:
Let x be subtracted from each term of the ratio 9: 17.

Thus, the required number which should be subtracted is 5.
Question 12.
The monthly pocket money of Ravi and Sanjeev are in the ratio 5 : 7. Their expenditures are in the ratio 3 : 5. If each saves Rs. 80 every month, find their monthly pocket money.
Solution:

Question 13.
The work done by (x – 2) men in (4x + 1) days and the work done by (4x + 1) men in (2x – 3) days are in the ratio 3: 8. Find the value of x.
Solution:
Assuming that all the men do the same amount of work in one day and one day work of each man = 1 units, we have,
Amount of work done by (x – 2) men in (4x + 1) days
= Amount of work done by (x – 2)(4x + 1) men in one day
= (x – 2)(4x + 1) units of work
Similarly,
Amount of work done by (4x + 1) men in (2x – 3) days
= (4x + 1)(2x – 3) units of work
According to the given information,

Question 14.
The bus fare between two cities is increased in the ratio 7: 9. Find the increase in the fare, if:
(i) the original fare is Rs 245;
(ii) the increased fare is Rs 207.
Solution:

Question 15.
By increasing the cost of entry ticket to a fair in the ratio 10: 13, the number of visitors to the fair has decreased in the ratio 6: 5. In what ratio has the total collection increased or decreased?
Solution:
Let the cost of the entry ticket initially and at present be 10 x and 13x respectively.
Let the number of visitors initially and at present be 6y and 5y respectively.
Initially, total collection = 10x × 6y = 60 xy
At present, total collection = 13x × 5y = 65 xy
Ratio of total collection = 60 xy: 65 xy = 12: 13
Thus, the total collection has increased in the ratio 12: 13.
Question 16.
In a basket, the ratio between the number of oranges and the number of apples is 7: 13. If 8 oranges and 11 apples are eaten, the ratio between the number of oranges and the number of apples becomes 1: 2. Find the original number of oranges and the original number of apples in the basket.
Solution:
Let the original number of oranges and apples be 7x and 13x.
According to the given information,

Thus, the original number of oranges and apples are 7 × 5 = 35 and 13 × 5 = 65 respectively.
Question 17.
In a mixture of 126 kg of milk and water, milk and water are in ratio 5 : 2. How much water must be added to the mixture to make this ratio 3 : 2?
Solution:

Question 18.
(A) If A: B = 3: 4 and B: C = 6: 7, find:
(i) A: B: C
(ii) A: C
(B) If A : B = 2 : 5 and A : C = 3 : 4, find
(i) A : B : C
Solution:

Question 19(i).
If 3A = 4B = 6C; find A: B: C.
Solution:

Question 19(ii).
If 2a = 3b and 4b = 5c, find: a : c.
Solution:

Question 20.

Solution:

Question 21.
Find duplicate ratio of:
(i) 3: 4 (ii) 3√3 : 2√5
Solution:
(i) Duplicate ratio of 3 : 4 = 32 : 42 = 9 : 16
(ii) Duplicate ratio of 3√3 : 2√5 = (3√3)² : (2√5)² = 27 : 20
Question 22.

Solution:

Question 23.
Find sub-duplicate ratio of:
(i) 9: 16 (ii) (x – y)4: (x + y)6
Solution:

Question 24.
Find the sub-triplicate ratio of:
(i) 64: 27 (ii) x3: 125y3
Solution:
(i) Sub-triplicate ratio of 64 : 27 = ∛64 : ∛27 = 4 : 3
(ii) Sub-triplicate ratio of x³ : 125y³ = ∛x³ : ∛125y³ = x : 5y
Question 25.

Solution:

Question 26.
If (x + 3) : (4x + 1) is the duplicate ratio of 3 : 5, find the value of x.
Solution:

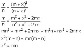
Question 27.
If m: n is the duplicate ratio of m + x: n + x; show that x2 = mn.
Solution:

Question 28.
If (3x – 9) : (5x + 4) is the triplicate ratio of 3 : 4, find the value of x.
Solution:

Question 29.
Find the ratio compounded of the reciprocal ratio of 15: 28, the sub-duplicate ratio of 36: 49 and the triplicate ratio of 5: 4.
Solution:

Question 30(a).
If r2 =pq, show that p : q is the duplicate ratio of (p + r) : (q + r).
Solution:

Question 30(b).

Solution:

Ratio and Proportion Exercise 7B – Selina Concise Mathematics Class 10 ICSE Solutions
Question 1.
Find the fourth proportional to:
(i) 1.5, 4.5 and 3.5 (ii) 3a, 6a2 and 2ab2
Solution:
(i) Let the fourth proportional to 1.5, 4.5 and 3.5 be x.
⇒ 1.5 : 4.5 = 3.5 : x
⇒ 1.5 × x = 3.5 4.5
⇒ x = 10.5
(ii) Let the fourth proportional to 3a, 6a2 and 2ab2 be x.
⇒ 3a : 6a2 = 2ab2 : x
⇒ 3a × x = 2ab2 6a2
⇒ 3a × x = 12a3b2
⇒ x = 4a2b2
Question 2.

Solution:

Question 3.

Solution:
(i) Let the mean proportional between 6 + 3√3 and 8 – 4√3 be x.
⇒ 6 + 3√3, x and 8 – 4√3 are in continued proportion.
⇒ 6 + 3√3 : x = x : 8 – 4√3
⇒ x × x = (6 + 3√3) (8 – 4√3)
⇒ x2 = 48 + 24√3- 24√3 – 36
⇒ x2 = 12
⇒ x = 2√3
(ii) Let the mean proportional between a – b and a3 – a2b be x.
⇒ a – b, x, a3 – a2b are in continued proportion.
⇒ a – b : x = x : a3 – a2b
⇒ x × x = (a – b) (a3 – a2b)
⇒ x2 = (a – b) a2(a – b) = [a(a – b)]2
⇒ x = a(a – b)
Question 4.
If x + 5 is the mean proportional between x + 2 and x + 9; find the value of x.
Solution:
Given, x + 5 is the mean proportional between x + 2 and x + 9.
⇒ (x + 2), (x + 5) and (x + 9) are in continued proportion.
⇒ (x + 2) : (x + 5) = (x + 5) : (x + 9)
⇒ (x + 5)2 = (x + 2)(x + 9)
⇒ x2 + 25 + 10x = x2 + 2x + 9x + 18
⇒ 25 – 18 = 11x – 10x
⇒ x = 7
Question 5.
If x2, 4 and 9 are in continued proportion, find x.
Solution:

Question 6.
What least number must be added to each of the numbers 6, 15, 20 and 43 to make them proportional?
Solution:

Question 7(i).

Solution:

Question 7(ii).

Solution:

Question 7(iii).

Solution:

Question 8.
What least number must be subtracted from each of the numbers 7, 17 and 47 so that the remainders are in continued proportion?
Solution:

Question 9.
If y is the mean proportional between x and z; show that xy + yz is the mean proportional between x2+y2 and y2+z2.
Solution:
Since y is the mean proportion between x and z
Therefore, y2 = xz
Now, we have to prove that xy+yz is the mean proportional between x2+y2 and y2+z2, i.e.,

LHS = RHS
Hence, proved.
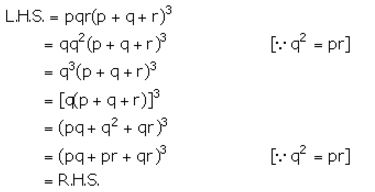
Question 10.
If q is the mean proportional between p and r, show that:
pqr (p + q + r)3 = (pq + qr + rp)3.
Solution:
Given, q is the mean proportional between p and r.
⇒ q2 = pr

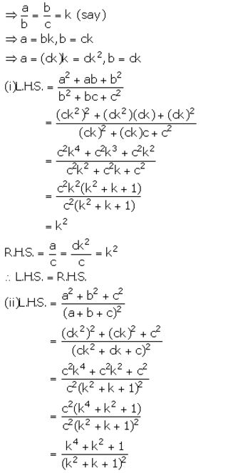
Question 11.
If three quantities are in continued proportion; show that the ratio of the first to the third is the duplicate ratio of the first to the second.
Solution:
Let x, y and z be the three quantities which are in continued proportion.
Then, x : y :: y : z ⇒ y2 = xz ….(1)
Now, we have to prove that
x : z = x2 : y2
That is we need to prove that
xy2 = x2z
LHS = xy2 = x(xz) = x2z = RHS [Using (1)]
Hence, proved.
Question 12.

Solution:
Given, y is the mean proportional between x and z.
⇒ y2 = xz

Question 13.

Solution:

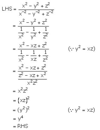
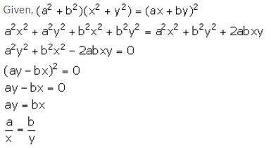
Question 14.
Find two numbers such that the mean mean proportional between them is 12 and the third proportional to them is 96.
Solution:

Question 15.
![]()
Solution:

Question 16.
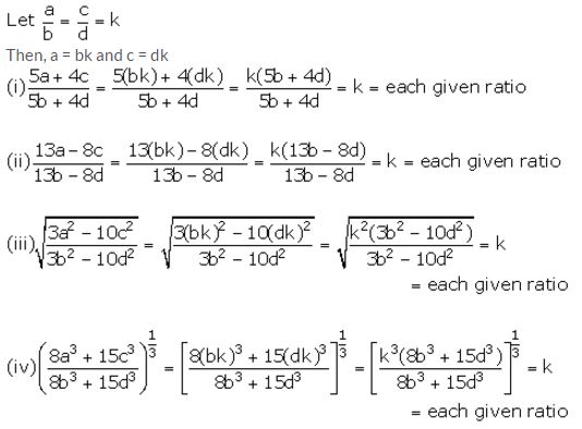
If p: q = r: s; then show that:
mp + nq : q = mr + ns : s.
Solution:

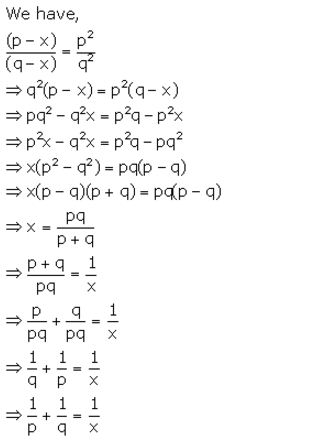
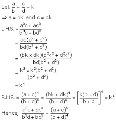
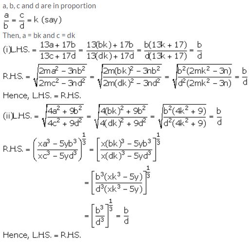
Question 17.
![]()
Solution:

Question 18.

Solution:

Question 19.

Solution:

Question 20.

Solution:

Ratio and Proportion Exercise 7C – Selina Concise Mathematics Class 10 ICSE Solutions
Question 1.
If a : b = c : d, prove that:
(i) 5a + 7b : 5a – 7b = 5c + 7d : 5c – 7d.
(ii) (9a + 13b) (9c – 13d) = (9c + 13d) (9a – 13b).
(iii) xa + yb : xc + yd = b : d.
Solution:

Question 2.
If a : b = c : d, prove that:
(6a + 7b) (3c – 4d) = (6c + 7d) (3a – 4b).
Solution:

Question 3.

Solution:

Question 4.

Solution:

Question 5.
If (7a + 8b) (7c – 8d) = (7a – 8b) (7c + 8d), prove that a: b = c: d.
Solution:

Question 6.

Solution:


Question 7.
If (a + b + c + d) (a – b – c + d) = (a + b – c – d) (a – b + c – d), prove that a: b = c: d.
Solution:

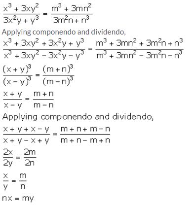
Question 8.
![]()
Solution:

Question 9.

Solution:

Question 10.

Solution:
Given, a, b and c are in continued proportion.


Question 11.

Solution:


Question 12.

Solution:

Question 13.

Solution:

Question 14.

Solution:

Question 15.

Solution:

Ratio and Proportion Exercise 7D – Selina Concise Mathematics Class 10 ICSE Solutions
Question 1.
If a: b = 3: 5, find:
(10a + 3b): (5a + 2b)
Solution:

Question 2.
If 5x + 6y: 8x + 5y = 8: 9, find x: y.
Solution:

Question 3.
If (3x – 4y): (2x – 3y) = (5x – 6y): (4x – 5y), find x: y.
Solution:

Question 4.
Find the:
(i) duplicate ratio of 2√2 : 3√5
(ii) triplicate ratio of 2a: 3b
(iii) sub-duplicate ratio of 9x2a4 : 25y6b2
(iv) sub-triplicate ratio of 216: 343
(v) reciprocal ratio of 3: 5
(vi) ratio compounded of the duplicate ratio of 5: 6, the reciprocal ratio of 25: 42 and the sub-duplicate ratio of 36: 49.
Solution:

Question 5.
Find the value of x, if:
(i) (2x + 3): (5x – 38) is the duplicate ratio of √5 : √6
(ii) (2x + 1): (3x + 13) is the sub-duplicate ratio of 9: 25.
(iii) (3x – 7): (4x + 3) is the sub-triplicate ratio of 8: 27.
Solution:

Question 6.
What quantity must be added to each term of the ratio x: y so that it may become equal to c: d?
Solution:
Let the required quantity which is to be added be p.
Then, we have:

Question 7.
A woman reduces her weight in the ratio 7 : 5. What does her weight become if originally it was 84 kg?
Solution:

Question 8.
If 15(2x2 – y2) = 7xy, find x: y; if x and y both are positive.
Solution:

Question 9.
Find the:
(i) fourth proportional to 2xy, x2 and y2.
(ii) third proportional to a2 – b2 and a + b.
(iii) mean proportional to (x – y) and (x3 – x2y).
Solution:

Question 10.
Find two numbers such that the mean proportional between them is 14 and third proportional to them is 112.
Solution:

Question 11.
If x and y be unequal and x: y is the duplicate ratio of x + z and y + z, prove that z is mean proportional between x and y.
Solution:

Question 12.

Solution:

Question 13.
If (4a + 9b) (4c – 9d) = (4a – 9b) (4c + 9d), prove that:
a: b = c: d.
Solution:

Question 14.

Solution:

Question 15.
There are 36 members in a student council in a school and the ratio of the number of boys to the number of girls is 3: 1. How any more girls should be added to the council so that the ratio of the number of boys to the number of girls may be 9: 5?
Solution:
Ratio of number of boys to the number of girls = 3: 1
Let the number of boys be 3x and number of girls be x.
3x + x = 36
4x = 36
x = 9
∴ Number of boys = 27
Number of girls = 9
Le n number of girls be added to the council.
From given information, we have:

Thus, 6 girls are added to the council.
Question 16.
If 7x – 15y = 4x + y, find the value of x: y. Hence, use componendo and dividend to find the values of:

Solution:

Question 17.

Solution:

Question 18.

Solution:

Question 19.

Solution:

Question 20.

Solution:

Question 21.

Solution:

Question 22.

Solution:

Question 23.

Solution:

Question 24.

Question 25.

Question 26.

Question 27.


Question 28.

Solution:

Question 29.

Solution:
Since, q is the mean proportional between p and r,
q2 = pr

Question 30.
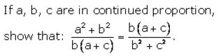
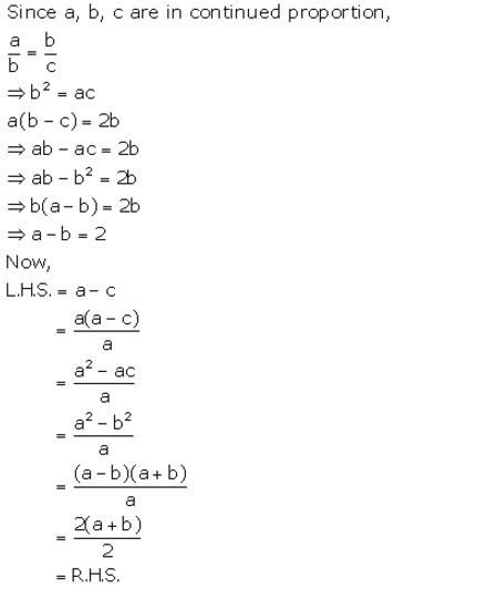
If a, b and c are in continued proportion, prove that:
a: c = (a2 + b2) : (b2 + c2)
Solution:

More Resources for Selina Concise Class 10 ICSE Solutions
- Selina ICSE Class 10 Maths Solutions
- Concise Physics Class 10 ICSE Answers
- Concise Chemistry Class 10 ICSE Answers
- Concise Biology Class 10 ICSE Answers
ICSE Solutions Selina ICSE Solutions