Selina Concise Mathematics Class 10 ICSE Solutions Banking (Recurring Deposit Accounts)
Selina Publishers Concise Mathematics Class 10 ICSE Solutions Chapter 2 Banking (Recurring Deposit Accounts)
Banking (Recurring Deposit Accounts) Exercise 2A – Selina Concise Mathematics Class 10 ICSE Solutions
Question 1.
Manish opens a Recurring Deposit Account with the Bank of Rajasthan and deposits ₹ 600 per month for 20 months. Calculate the maturity value of this account, if the bank pays interest at the rate of 10% per annum.
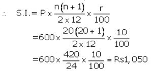
Solution:
Installment per month(P) = ₹ 600
Number of months(n) = 20
Rate of interest(r) = 10% p.a.

The amount that Manish will get at the time of maturity
= ₹ (600×20) + ₹ 1,050
= ₹ 12,000 + ₹ 1,050
= ₹ 13,050
Question 2.
Mrs. Mathew opened a Recurring Deposit Account in a certain bank and deposited ₹ 640 per month for 4 ½ years. Find the maturity value of this account, if the bank pays interest at the rate of 12% per year.
Solution:
Installment per month(P) = ₹ 640
Number of months(n) = 54
Rate of interest(r)= 12% p.a.

The amount that Manish will get at the time of maturity
= ₹ (640×54)+ ₹ 9,504
= ₹ 34,560 + ₹ 9,504
= ₹ 44,064
Question 3.
Each of A and B both opened recurring deposit accounts in a bank. If A deposited ₹ 1,200 per month for 3 years and B deposited ₹ 1,500 per month for 2 ½ years; find, on maturity, who will get more amount and by how much? The rate of interest paid by the bank is 10% per annum.
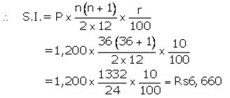
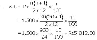
Solution:
For A
Installment per month(P) = ₹ 1,200
Number of months(n) = 36
Rate of interest(r) = 10% p.a.

The amount that A will get at the time of maturity
= ₹ (1,200×36) + ₹ 6,660
= ₹ 43,200 + ₹ 6,660
= ₹ 49,860
For B
Instalment per month(P) = ₹ 1,500
Number of months(n) = 30
Rate of interest(r) = 10% p.a.

The amount that B will get at the time of maturity
= ₹ (1,500×30) + ₹ 5,812.50
= ₹ 45,000 + ₹ 5,812.50
= ₹ 50,812.50
Difference between both amounts = ₹ 50,812.50 – ₹ 49,860
= ₹ 952.50
Then B will get more money than A by ₹ 952.50.
Question 4.
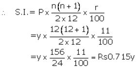
Ashish deposits a certain sum of money every month is a Recurring Deposit Account for a period of 12 months. If the bank pays interest at the rate of 11% p.a. and Ashish gets ₹ 12,715 as the maturity value of this account, what sum of money did money did he pay every month?
Solution:
Let Installment per month(P) = ₹ y
Number of months(n) = 12
Rate of interest(r) = 11% p.a.

Maturity value = ₹ (y × 12) + ₹ 0.715y = ₹ 12.715y
Given maturity value = ₹ 12,715
Then ₹ 12.715y = ₹ 12,715
![]()
Question 5.
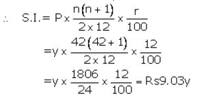
A man has a Recurring Deposit Account in a bank for 3 ½ years. If the rate of interest is 12% per annum and the man gets ₹ 10,206 on maturity, find the value of monthly instalments.
Solution:
Let Installment per month(P) = ₹ y
Number of months(n) = 42
Rate of interest(r) = 12% p.a.

Maturity value= ₹ (y × 42) + ₹ 9.03y= ₹ 51.03y
Given maturity value = ₹ 10,206
Then ₹ 51.03y = ₹ 10206
![]()
Question 6.
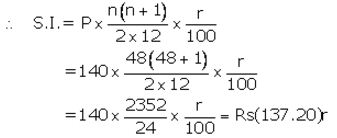
(i) Puneet has a Recurring Deposit Account in the Bank of Baroda and deposits ₹ 140 per month for 4 years. If he gets ₹ 8,092 on maturity, find the rate of interest given by the bank.
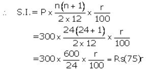
(ii) David opened a Recurring Deposit Account in a bank and deposited ₹ 300 per month for two years. If he received ₹ 7,725 at the time of maturity, find the rate of interest per annum.
Solution:
(a)
Installment per month(P) = ₹ 140
Number of months(n) = 48
Let rate of interest(r) = r% p.a.

Maturity value= ₹ (140 × 48) + ₹ (137.20)r
Given maturity value = ₹ 8,092
Then ₹ (140 × 48) + ₹ (137.20)r = ₹ 8,092
⇒ 137.20r = ₹ 8,092 – ₹ 6,720
![]()
(b)
Instalment per month(P) = ₹ 300
Number of months(n) = 24
Let rate of interest(r)= r% p.a.

Maturity value = ₹ (300 × 24) + ₹ (75)r
Given maturity value = ₹ 7,725
Then ₹ (300 × 24) + ₹ (75)r = ₹ 7,725
⇒ 75 r = ₹ 7,725 – ₹ 7,200
![]()
Question 7.
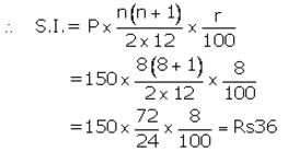
Amit deposited ₹ 150 per month in a bank for 8 months under the Recurring Deposit Scheme. What will be the maturity value of his deposits, if the rate of interest is 8% per annum and interest is calculated at the end of every month?
Solution:
Installment per month(P) = ₹ 150
Number of months(n) = 8
Rate of interest(r) = 8% p.a.

The amount that Manish will get at the time of maturity
= ₹ (150 × 8) + ₹ 36
= ₹ 1,200 + ₹ 36
= ₹ 1,236
Question 8.
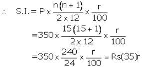
Mrs. Geeta deposited ₹ 350 per month in a bank for 1 year and 3 months under the Recurring Deposit Scheme. If the maturity value of her deposits is ₹ 5,565; find the rate of interest per annum.
Solution:
Installment per month(P) = ₹ 350
Number of months(n) = 15
Let rate of interest(r)= r% p.a.

Maturity value= ₹ (350 × 15) + ₹ (35)r
Given maturity value = ₹ 5,565
Then ₹ (350 × 15) + ₹ (35)r = ₹ 5,565
⇒ 35r = ₹ 5,565 – ₹ 5,250
![]()
Question 9.
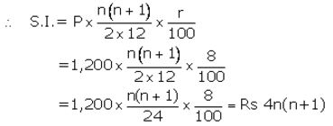
A recurring deposit account of ₹ 1,200 per month has a maturity value of ₹ 12,440. If the rate of interest is 8% and the interest is calculated at the end of every month; find the time (in months) of this Recurring Deposit Account.
Solution:
Installment per month(P) = ₹ 1,200
Number of months(n) = n
Let rate of interest(r) = 8% p.a.

Maturity value = ₹ (1,200 × n) + ₹ 4n(n+1) = ₹ (1200n+4n2+4n)
Given maturity value= ₹ 12,440
Then 1200n+4n2+4n = 12,440

Then number of months = 10
Question 10.
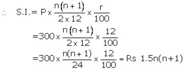
Mr. Gulati has a Recurring Deposit Account of ₹ 300 per month. If the rate of interest is 12% and the maturity value of this account is ₹ 8,100; find the time (in years) of this Recurring Deposit Account.
Solution:
Installment per month(P) = ₹ 300
Number of months(n) = n
Let rate of interest(r)= 12% p.a.

Maturity value= ₹ (300 × n)+ ₹ 1.5n(n+1)
= ₹ (300n+1.5n2+1.5n)
Given maturity value= ₹ 8,100
Then 300n+1.5n2+1.5n = 8,100

Then time = 2 years.
Question 11.
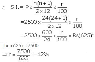
Mr. Gupta opened a recurring deposit account in a bank. He deposited ₹ 2,500 per month for two years. At the time of maturity he got ₹ 67,500. Find:
(i) the total interest earned by Mr. Gupta
(ii) the rate of interest per annum.
Solution:
(i)
Maturity value = ₹ 67,500
Money deposited = ₹ 2,500 × 24= ₹ 60,000
Then total interest earned = ₹ 67,500 – ₹ 60,000 = ₹ 7,500 Ans.
(ii)
Installment per month(P) = ₹ 2,500
Number of months(n) = 24
Let rate of interest(r)= r% p.a.

Banking (Recurring Deposit Accounts) Exercise 2B- Selina Concise Mathematics Class 10 ICSE Solutions
Question 1.
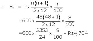
Pramod deposits ₹ 600 per month in a Recurring Deposit Account for 4 years. If the rate of interest is 8% per year; calculate the maturity value of his account.
Solution:
Installment per month(P) = ₹ 600
Number of months(n) = 48
Rate of interest(r)= 8% p.a.

The amount that Manish will get at the time of maturity
= ₹ (600 × 48) + ₹ 4,704
= ₹ 28,800 + ₹ 4,704
= ₹ 33,504
Question 2.
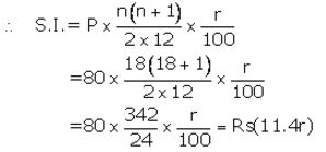
Ritu has a Recurring Deposit Account in a bank and deposits ₹ 80 per month for 18 months. Find the rate of interest paid by the bank if the maturity value of account is ₹ 1,554.
Solution:
Installment per month(P) = ₹ 80
Number of months(n) = 18
Let rate of interest(r) = r% p.a.

Maturity value = ₹ (80 × 18) + ₹ (11.4r)
Given maturity value = ₹ 1,554
Then ₹ (80 × 18 ) + ₹ (11.4r) = ₹ 1,554
⇒ 11.4r = ₹ 1,554 – ₹ 1,440
![]()
Question 3.
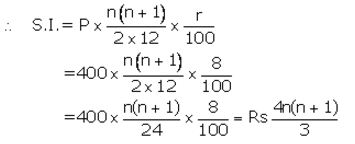
The maturity value of a R.D. Account is ₹ 16,176. If the monthly installment is ₹ 400 and the rate of interest is 8%; find the time (period) of this R.D Account.
Solution:
Installment per month(P) = ₹ 400
Number of months(n) = n
Let rate of interest(r)= 8% p.a.


⇒ 1200n +4n2+4n= ₹ 48,528
⇒ 4n2+1204n = ₹ 48,528
⇒ n2+301n – 12132= 0
⇒ (n+337)(n-36)=0
⇒ n = -337 or n=36
Then number of months = 36 months = 3 years
Question 4.
Mr. Bajaj needs ₹ 30,000 after 2 years. What least money (in multiple of 5) must he deposit every month in a recurring deposit account to get required money after 2 years, the rate of interest being 8% p.a.?
Solution:
Let installment per month = ₹ P
Number of months(n) = 24
Rate of interest = 8% p.a.

Maturity value = ₹ (P × 24)+ ₹ 2P = ₹ 26P
Given maturity value = ₹ 30,000

Question 5.
Rishabh has recurring deposit account in a post office for 3 years at 8% p.a. simple interest. If he gets ₹ 9,990 as interest at the time of maturity, find:
(i) The monthly installment.
(ii) The amount of maturity.
Solution:
Let Installment per month = ₹ P
Number of months(n) = 36
Rate of interest(r)= 8% p.a.

Given interest = ₹ 9,990

(ii) Maturity value = ₹ (2,250 × 36) + ₹ 9,990 = ₹ 90,990
Question 6.
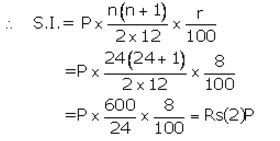
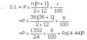
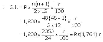
Gopal has a cumulative deposit account and deposits ₹ 900 per month for a period of 4 years he gets ₹ 52,020 at the time of maturity, find the rate of interest.
Solution:
Installment per month(P) = ₹ 900
Number of months(n) = 48
Let rate of interest(r)= r% p.a.

Maturity value= ₹ (900 × 48) + ₹ (882)r
Given maturity value = ₹ 52,020
Then ₹ (900 × 48) + ₹ (882)r = ₹ 52,020
⇒ 882r = ₹ 52,020 – ₹ 43,200
![]()
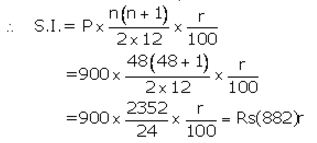
Question 7.
Deepa has a 4-year recurring deposit account in a bank and deposits ₹ 1,800 per month. If she gets ₹ 1,08,450 at the time of maturity, find the rate of interest.
Solution:
Installment per month(P) = ₹ 1,800
Number of months(n) = 48
Let rate of interest(r)= r% p.a.

Maturity value = ₹ (1,800 x 48) + ₹ (1,764)r
Given maturity value = ₹ 1,08,450
Then ₹ (1,800 x 48) + ₹ (1764)r = ₹ 1,08,450
⇒ 1764r = ₹ 1,08,450 – ₹ 86,400

Question 8.
Mr. Britto deposits a certain sum of money each month in a Recurring Deposit Account of a bank. If the rate of interest is of 8% per annum and Mr. Britto gets Rs. 8,088 from the bank after 3 years, find the value of his monthly instalment.
Solution:

Question 9.
Shahrukh opened a Recurring Deposit Acoount in a bank and deposited Rs. 800 per month for 1 \(\frac { 1 }{ 2 }\) years. If he received Rs. 15,084 at the time of maturity, find the rate of interest per annum.
Solution:

Question 10.
Katrina opened a recurring deposit account with a Nationalised Bank for a period of 2 years. If the bank pays interest at the rate of 6% per annum and the monthly installment is ₹ 1,000, find the :
(i) interest earned in 2 years
(ii) maturity value
Solution:

Question 11.
Mohan has a recurring deposit account in a bank for 2 years at 6% p.a. simple interest. If he gets Rs. 1200 as interest at the time of maturity, find
(i) the monthly installment
(ii) the amount of maturity
Solution:
Interest, I = Rs. 1,200
Time, n = 2 years = 2 × 12 = 24 months
Rate, r = 6%
(i) To find: Monthly instalment, P
Now,

So, the monthly instalment is Rs. 800.
(ii) Total sum deposited = P × n = Rs. 800 × 24 = Rs. 19,200
∴ Amount of maturity = Total sum deposited + Interest on it
= Rs. (19,200 + 1,200)
= Rs. 20,400
Question 11.
Peter has a recurring deposit account in Punjab National Bank at Sadar Bazar, Delhi for 4 years at 10% p.a. He will get ₹ 6,370 as interest on maturity. Find :
(i) monthlyinstallment,
(ii) the maturity value of the account.
Solution:

More Resources for Selina Concise Class 10 ICSE Solutions
- Concise Mathematics Class 10 ICSE Solutions
- Concise Physics Class 10 ICSE Solutions
- Concise Chemistry Class 10 ICSE Solutions
- Concise Biology Class 10 ICSE Solutions
ICSE Solutions Selina ICSE Solutions