Quadratic Equations
An equation in which the highest power of the unknown quantity is two is called quadratic equation.

Types of quadratic equation
Quadratic equations are of two types:
| Purely quadratic | Adfected quadratic |
| ax2 + c = 0 where a, c ∈ C and b = 0, a ≠ 0 | ax2 + bx + c = 0 where a, b, c ∈ C and a ≠ 0, b ≠ 0 |
Roots of a quadratic equation:
The values of variable x which satisfy the quadratic equation is called roots of quadratic equation.
Solution of quadratic equation
(1) Factorization method
Let ax2 + bx + c = a(x – α)(x – β) = 0.
Then x = α and x = β will satisfy the given equation.
Hence, factorize the equation and equating each factor to zero gives roots of the equation.
Example: 3x2 – 2x + 1 = 0 ⇒(x – 1)(3x + 1) = 0; x = 1, -1/3
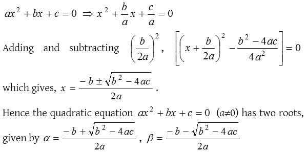
(2) Sri Dharacharya method
By completing the perfect square as

Every quadratic equation has two and only two roots.
https://www.youtube.com/watch?v=Nf1Fs8ln8tw
Nature of roots
In a quadratic equation ax2 + bx + c = 0, let us suppose that are real and a ≠ 0. The following is true about the nature of its roots.
- The equation has real and distinct roots if and only if D ≡ b2 – 4ac > 0.
- The equation has real and coincident (equal) roots if and only if D ≡ b2 – 4ac = 0.
- The equation has complex roots of the form α ± iβ, α ≠ 0 if and only if D ≡ b2 – 4ac < 0.
- The equation has rational roots if and only if a, b, c ∈ Q (the set of rational numbers) and D ≡ b2 – 4ac is a perfect square (of a rational number).
- The equation has (unequal) irrational (surd form) roots if and only if D ≡ b2 – 4ac > 0 and not a perfect square even if a, b and c are rational. In this case if p + √q, p,q rational is an irrational root, then p – √q is also a root (a, b, c being rational).
- α + iβ (β ≠ 0 and α, β ∈ R) is a root if and only if its conjugate α – iβ is a root, that is complex roots occur in pairs in a quadratic equation. In case the equation is satisfied by more than two complex numbers, then it reduces to an identity.
0.x2 + 0.x + 0 = 0, i.e., a = 0 = b = c.
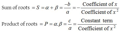
Relations between roots and coefficients
(1) Relation between roots and coefficients of quadratic equation: If α and β are the roots of quadratic equation , (a ≠ 0) then

(2) Formation of an equation with given roots: A quadratic equation whose roots are α and β is given by (x – α)(x – β) = 0.
∴ x2 – (α+iβ)x + αβ = 0
i.e. x2 – (sum of roots)x + (product of roots) = 0
∴ x2 – Sx + P = 0
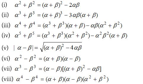
(3) Symmetric function of the roots : A function of α and β is said to be a symmetric function, if it remains unchanged when α and β are interchanged.
For example, α2 + β2 + 2αβ is a symmetric function of α and β whereas α2 + β2 + 2αβ is not a symmetric function of α and β.
In order to find the value of a symmetric function of α and β, express the given function in terms of α + β and αβ. The following results may be useful.

Properties of quadratic equation
- If f(a) and f(b) are of opposite signs then at least one or in general odd number of roots of the equation lie between a and b.
- If then f(a) = f(b) there exists a point c between a and b such that f(c) = 0, a<c<b.
- If α is a root of the equation f(x) = 0 then the polynomial f(x) is exactly divisible by (x – α), then (x – α) is factor of f(x).
- If the roots of the quadratic equations a1x2 + b1x + c1 = 0 and a2x2 + b2x + c2 = 0 are in the same ratio [i.e. α1/β1 = α2/β2] then b12/b22 = a1c1/a2c2.