Plus One Maths Notes Chapter 9 Sequences and Series is part of Plus One Maths Notes. Here we have given Kerala Plus One Maths Notes Chapter 9 Sequences and Series.
| Board | SCERT, Kerala |
| Text Book | NCERT Based |
| Class | Plus One |
| Subject | Maths Notes |
| Chapter | Chapter 9 |
| Chapter Name | Sequences and Series |
| Category | Plus One Kerala |
Kerala Plus One Maths Notes Chapter 9 Sequences and Series
I. Sequence and Series
A sequence can be regarded as a function whose domain is the set of natural numbers or some subset of it of the type {1, 2, 3, ….., k}.
Generally denoted by a1, a2, …….., an, ………
Let a1, a2, …….., an, …….. be a sequence. Then the expression a1 + a2 + ……. + an + …….. is called the series associated with the given sequence.
II. Arithmetic Progression (AP)
A sequence a1, a2, ……, an, …….. is called an arithmetic sequence or arithmetic progression if an+1 = a2 + d, n ∈ N, where a1 is called the first term and the constant term d is called the common difference of the AP.
Standard form of an AP:
a, a + d, a + 2d, …….. where a is the first term and d is a common difference.
If a constant is added to each term of an AP, the resulting sequence is also an AP.
If a constant is subtracted to each term of an AP, the resulting sequence is also an AP.
If each term of an AP is multiplied by a constant k, the resulting sequence is also an AP. But the resulting AP will have a common difference kd.
If each term of an AP is divided by a constant k, the resulting sequence is also an AP. But the resulting AP will have a common difference \(\frac{d}{k}\).
nth term, an = a + (n – 1)d
Sum of n terms, Sn = \(\frac{n}{2}\) [2a + (n – 1)d]
Sn = \(\frac{n}{2}\) [t1 + tn]
Arithmetic mean between a and b is \(\frac{a+b}{2}\)
III. Geometric Progression (GP):
A sequence a1 + a2 + ……… + an + …….. is called Geometric sequence or Geometric progression if \(\frac{a_{k+1}}{a_{k}}=r\), k ≥ 1, where a1 is called the first term and the constant term r is called the common ratio of the AP.
Standard form of a GP:
a, ar, ar2,…… where a is the first term and r is a common difference.
nth term, tn = arn-1
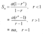
Sum of n terms,

Geometric mean between a and b is √ab
Arithmetic mean ≥ Geometric mean.
Infinite G.P, and its Sum G. P. of the form a + ar + ar2 + ar3 + …… ∞ is called infinite G.P.
S∞ = \(\frac{a}{1-r}\); |r| < 1
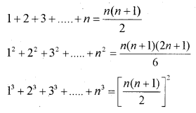
IV. Special Series

We hope the Plus One Maths Notes Chapter 9 Sequences and Series help you. If you have any query regarding Kerala Plus One Maths Notes Chapter 9 Sequences and Series, drop a comment below and we will get back to you at the earliest.