Plus One Maths Notes Chapter 12 Introduction to Three Dimensional Geometry is part of Plus One Maths Notes. Here we have given Kerala Plus One Maths Notes Chapter 12 Introduction to Three Dimensional Geometry .
| Board | SCERT, Kerala |
| Text Book | NCERT Based |
| Class | Plus One |
| Subject | Maths Notes |
| Chapter | Chapter 12 |
| Chapter Name | Introduction to Three Dimensional Geometry |
| Category | Plus One Kerala |
Kerala Plus One Maths Notes Chapter 12 Introduction to Three Dimensional Geometry
Introduction
To refer to a point in space we require a third axis (say z-axis) which leads to the concept of three-dimensional geometry. In this chapter, we study the basic concept of geometry in three-dimensional space.
I. Octant
Consider three mutually perpendicular planes meet at a point O. Let these three planes intercept along three lines XOX’, YOY’ and ZOZ’ called the x-axis, y-axis, and z-axis respectively. These three planes divide the entire space into 8 compartments called Octants. These octants could be named as XOYZ, XOYZ’, XOYZ, X’OYZ, XOY’Z’, X’OYZ, X’OYZ’, X’OYZ’.


Distance between two points: The distance between the points (x1, y1, z1) and (x2, y2, z2) is ![]()
Section formula:
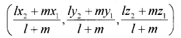
1. Internal: The coordinate of the point R which divides the line segment joining the points (x1, y1, z1) and (x2, y2, z2) internally in the ratio l : m is 
2. External: The coordinate of the point R which divides the line segment joining the points (x1, y1, z1) and (x2, y2, z2) externally in the ratio l : m is 
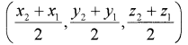
3. Midpoint: The coordinate of the point R which is the midpoint of the line segment joining the points (x1, y1, z1) and (x2, y2, z2) is 
4. Centroid: The coordinate of the centroid of a triangle whose vertices are given by the points (x1, y1, z1), (x2, y2, z2) and (x3, y3, z3) is 
We hope the Plus One Maths Notes Chapter 12 Introduction to Three Dimensional Geometry help you. If you have any query regarding Kerala Plus One Maths Notes Chapter 12 Introduction to Three Dimensional Geometry, drop a comment below and we will get back to you at the earliest.