Kerala Plus One Maths Chapter Wise Questions and Answers Chapter 5 Complex Numbers and Quadratic Equations
Plus One Maths Complex Numbers and Quadratic Equations Three Mark Questions and Answers
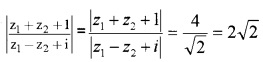
Question 1.
If z1 = 2 – i, z2 = 1 + i
- Find | z1 + z2 + 1| and |z1 – z2 + i| (2)
- Hence find \(\left|\frac{z_{1}+z_{2}+1}{z_{1}-z_{2}+i}\right|\) (1)
Answer:
1. |z1 + z2 + 1| = |2 – i + 1 + i + 1| = 4
|z1 – z2 + i| = |2 – i – 1 – i + i| = |1 – i|
\(=\sqrt{1+1}=\sqrt{2}\)
2.

Question 2.
Find the square root of -15 – 8i.
Answer:
Let x + iy = \(\sqrt{-15-8 i}\)
Then (x + iy)2 = -15 – 8i
⇒ x2 – y2 + 2xyi = – 15 – 8i
Equating real and imaginary parts, we have
x2 – y2 = -15 ______(1)
2xy = – 8
We know the identity
(x2 + y2)2 = (x2 – y2)2 + (2xy)2
= 225 + 64
= 289
Thus, x2 + y2 = 17 _______(2)
From (1) and (2), x2 = 1 and y2 = 16 or x = ±1 and y = ±4
Since the product xy is negative, we have
x = 1, y = -4 or, x = -1, y = 4
Thus, the square roots of -15 – 8i are 1 – 4i and -1 + 4i.
Plus One Maths Complex Numbers and Quadratic Equations Four Mark Questions and Answers
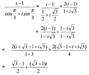
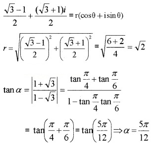
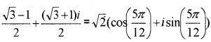
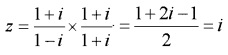
Question 1.
Consider the complex number \(\frac{i-1}{\cos \frac{\pi}{3}+i \sin \frac{\pi}{3}}\)
- Express in a + ib form. (2)
- Convert into polar form. (2)
Answer:
1.

2.

The complex number lies in the first quadrant;
⇒ θ = α = \(\frac{5 \pi}{12}\)

Question 2.
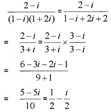
- Express the complex number \(\frac{2-i}{(1-i)(1+2 i)}\) in the form a + ib (2)
- Solve the equation 27x2 – 10x + 1 = 0 (2)
Answer:
1.

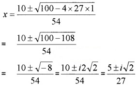
2. 27x2 – 10x + 1 = 0

Question 3.
- For what value of x and y 4x + i(3x – y) = 3 – 6i (2)
- Solve the equation 21x2 – 28x + 10 = 0 (2)
Answer:
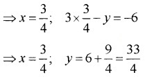
1. Given; 4x + i(3x – y) = 3 – 6i
⇒ 4x = 3; 3x – y = -6

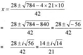
2. 21x2 – 28x + 10 = 0

Question 4.
Consider the complex number z = \(\frac{1+i}{1-i}\)
1. Write z in a + ib form.
2.

In the figure radius of the circle is 1. Write the polar form of the complex number represent by the points P and Q. (2)
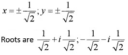
3. Find the square root of i. (2)
Answer:
1.

2. Polar form of the point P is \(1\left(\cos \frac{\pi}{2}+i \sin \frac{\pi}{2}\right)\)
Polar form of the point Q is \(1\left(\cos \frac{\pi}{4}+i \sin \frac{\pi}{4}\right)\)
3. i = 0 + i ⇒ \(\sqrt{i}\) = x + iy ⇒ i = x2 + y2 + 2xyi x2 + y2 = 0; 2xy = 1
(x2 + y2)2 = (x2 – y2)2 + 4x2y2
(x2 + y2)2 = 0 + (1)2 = 1
x2 + y2 = 1; x2 + y2 = 0

Plus One Maths Complex Numbers and Quadratic Equations Six Mark Questions and Answers
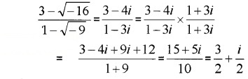
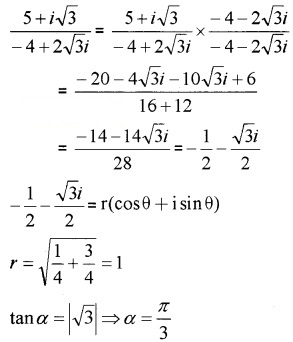
Question 1.
- Express the complex number \(\frac{3-\sqrt{-16}}{1-\sqrt{-9}}\) in the form a + ib (2)
- Represent the complex number \(\frac{5+i \sqrt{3}}{-4+2 \sqrt{3 i}}\) in the polar form. (2)
- Solve the equation ix2 – x + 12i = 0 (2)
Answer:
1.

2.

The complex number lies in the third quadrant;

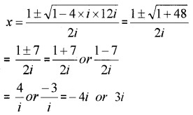
3. ix2 – x + 12i = 0

Plus One Maths Complex Numbers and Quadratic Equations Practice Problems Questions and Answers
Question 1.
Express each of the following in a + ib form. (1 score each)
- (2 – 4i) + (5 + 3i)
- (1 – i) – (-1 + 6i)
- 3(7 + 7i) + i(7 + 7i)
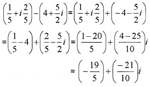
- \(\left(\frac{1}{5}+i \frac{2}{5}\right)-\left(4+\frac{5}{2} i\right)\)
Answer:
1. (2 – 4i) + (5 + 3i) = (2 + 5) + (-4 + 3)i = 7 – i
2. (1 – i) – (-1 + 6i) = 1 – i + 1 – 6i = 2 – 7i
3. 3(7 + 7i) + i(7 + 7i) = 21 + 21i + 7i – 7 = 14 + 28i
4.

Question 2.
Express each of the following in a + ib form. (1 score each)
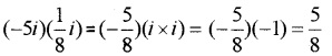
- (-5i)(\(\frac{1}{8}\)i)
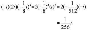
- (-i)(2i)(-\(\frac{1}{8}\)i)3
- i99
- i111 + i222 + i333
- (7 – i)(2 + 7i)
- (-1 – i)(4 + 2i)
- (5 – 3i)2
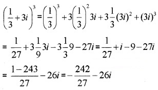
- (\(\frac{1}{3}\) + 3i)3
Answer:
1.

2.

3. i99 = i96 + 3 = i96i3 = -i
4. i111 + i222 + i333 + i108 + i220 + 2 + i332 + 1
= i3 + i2 + i1 = -i – 1 + i = -1
5. (7 – i)(2 + 7i) = 7 × 2 – 2i + 7 × 7i – i × 7i
= 14 – 2i + 49i + 7 = 21 + 47i
6. (-1 – i)(4 + 2i) = -4 – 4i – 2i + 2 = – 2 – 6i
7. (5 – 3i)2 = 52 – 2 × 5 × 3i + (3i)2
= 25 – 30i – 9 = 16 – 30i
8.

Question 3.
Find the multiplicative inverse of the following; (1 score each)
- 3 – 4i
- 2 – 3i
- \(\sqrt{5}\) + 3i
Answer:
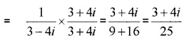
1. Multiplicative inverse = \(\frac{1}{3-4 i}\)

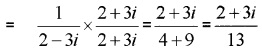
2. Multiplicative inverse = \(\frac{1}{2-3 i}\)

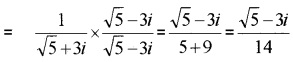
3. Multiplicative inverse = \(\frac{1}{\sqrt{5}+3 i}\)

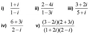
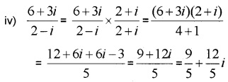
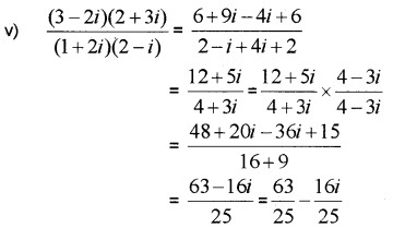
Question 4.
Express each of the following in a + ib form. (2 score each)

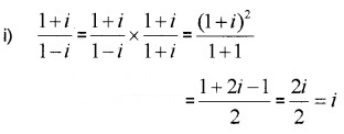
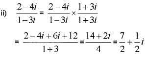
Answer:





Question 5.
Convert the following into polar form. (2 score each)
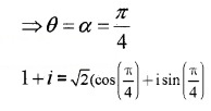
- 1 + i
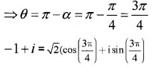
- -1 + i
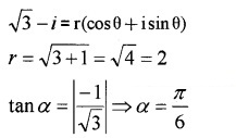
- \(\sqrt{3}\) – i
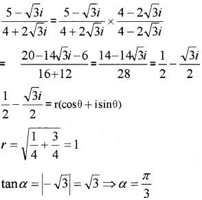
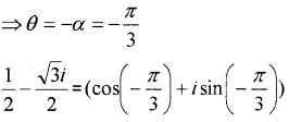
- \(\frac{5-\sqrt{3} i}{4+2 \sqrt{3} i}\)
Answer:
1. Given; 1 + i = r(cosθ + isinθ)
r = \(\sqrt{1+1}=\sqrt{2}\)
tanα = \(\left|\frac{1}{1}\right|\) = 1 ⇒ α = \(\frac{\pi}{4}\)
The complex number lies in the first quadrant;

2. -1 + i = r(cosθ + isinθ)
r = \(\sqrt{1+1}=\sqrt{2}\)
tanα = \(\left|\frac{1}{-1}\right|\) = 1 ⇒ α = \(\frac{\pi}{4}\)
The complex number lies in the second quadrant;

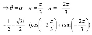
3.

The complex number lies in the fourth quadrant;

4.

The complex number lies in the fourth quadrant;
