Kerala Plus One Maths Chapter Wise Questions and Answers Chapter 4 Principle of Mathematical Induction
Plus One Maths Principle of Mathematical Induction Three Mark Questions and Answers
Question 1.
For all n ≥ 1, prove that
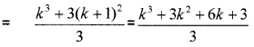
12 + 22 + 32 +……….+ n2 > \(\frac{n^{3}}{3}\)
Answer:
Let p(n): 12 + 22 + 32 + n2
Put n = 1 ⇒ p(1) = 1 > \(\frac{1}{3}\) which is true.
Assuming that true for p(k)
p(k): 12 + 22 + 32 +……….+ k2 > \(\frac{k^{3}}{3}\)
Let p(k + 1): 12 + 22 + 32 +…….+ k2 + (k + 1)2 > \(\frac{k^{3}}{3}\) + (k + 1)2


Hence by using the principle of mathematical induction true for all n ∈ N.
Question 2.
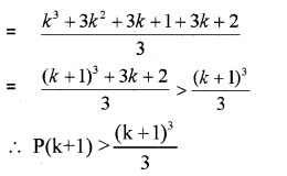
For all n ≥ 1 , prove that 1 + 2 + 3 +…….+ n < \(\frac{1}{8}\)(2n + 1)2
Answer:
Let p(n): 1 + 2 + 3 +…….+ n ,
Put n = 1 ⇒ p(1) = 1 < \(\frac{9}{8}\) which is true.
Assuming that true for p(k)
p(k): 1 + 2 + 3 +…….+ k < \(\frac{1}{8}\)(2k + 1)2
Let p(k +1): 1 + 2 + 3 +……..+ k + (k +1) < \(\frac{1}{8}\) (2k + 1)2 + (k + 1)

Hence by using the principle of mathematical induction true for all n ∈ N.
Question 3.
For all n ≥ 1, prove that p(n): 23n – 1 is divisible by 7.
Answer:
p(1): 23(1) – 1 = 8 – 1 = 7 divisible by 7, hence true. Assuming that for p(k)
p(k) : 23k – 1 is divisible by 7.
23k – 1 = 7M
P(k + 1): 23(k + 1) – 1 = 23k + 3 – 1
= 23k23 – 1 = 23k × 8 – 1
= 23k × 8 – 8 + 7 = 8(23k – 1) + 7
= 8(7M) + 7
Hence divisible by 7. Therefore by using the principle of mathematical induction true for all n ∈ N.
Question 4.
For all n ≥ 1, prove that p(n): n3 + (n + 1)3 + (n + 2)3 is divisible by 9.
Answer:
p(1): 1 + 23 + 33 = 1 + 8 + 27 = 36 divisible by 9, hence true. Assuming that true for p(k)
p(k): k3 + (k + 1)3 + (k + 2)3 is divisible by 9.
⇒ k3 + (k + 1)3 + (k + 2)3 = 9M
p(k +1 ): (k + 1)3 + (k + 2 )3 + (k + 3)3
= (k +1)3 + (k + 2)3 + k3 + 9k2 + 27k + 27
= [(k + 1)3 + (k + 2)3 + k3] + 9[k2 + 3k + 3]
= 9M + 9[k2 + 3k + 3]
Hence p(k + 1)divisible by 9. Therefore by using the principle of mathematical induction true for all n ∈ N.
Plus One Maths Principle of Mathematical Induction Four Mark Questions and Answers
Question 1.
For all n ≥ 1, prove that

Answer:

Hence by using the principle of mathematical induction true for all n ∈ N.
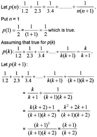
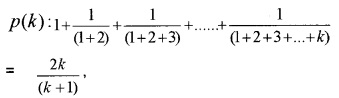
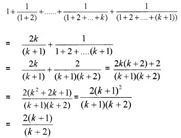
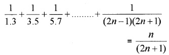
Question 2.
For all n ≥ 1, prove that
![]()
Answer:
Let

Assuming that true for p(k)

Let p(k + 1):

Hence by using the principle of mathematical induction true for all n ∈ N.
Question 3.
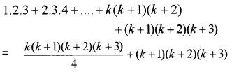
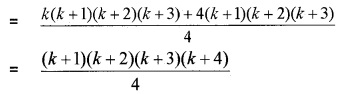
For all n ≥ 1 , prove that 1.2.3 + 2.3.4 +………+ n(n + 1)(n + 2) = \(\frac{n(n+1)(n+2)(n+3)}{4}\).
Answer:
Let p(n): 1.2.3 + 2.3.4 +……..+ n(n + 1)(n + 2),
Put n = 1
p(1) = \(\frac{1(1+1)(1+2)(1+3)}{4}\) = 6 which is true.
Assuming that true for p(k)
p(k): 1.2.3 + 2.3.4 +……..+ k(k + 1)(k + 2) = \(\frac{k(k+1)(k+2)(k+3)}{4}\),
Let p(k + 1)


Hence by using the principle of mathematical induction true for all n ∈ N.
Question 4.
For all n ≥ 1, prove that

Answer:


Hence by using the principle of mathematical induction true for all n ∈ N.
Question 5.
For all n ≥ 1 , prove that p(n): n(n + 1 )(n + 5) is divisible by 3.
Answer:
p(1): 1(1 + 1)(1 + 5) = 12divisible by 3, hence true. Assuming that true for p(k)
p(k): k(k + 1)(k + 5) is divisible by 3.
k(k + 1)(k + 5) = 3M
p(k + 1): (k + 1)(k + 2)(k + 6)
= (k + 1)(k2 + 8k + 12)
= (k + 1)(k2 + 5k + 3k +12)
= (k + 1)[k(k + 5) + 3(k + 6)]
= [k(k + 1)(k + 5) + 3(k + 1)(k + 6)]
= [3M + 3(k + 1)(k + 6)]
= 3[M + (k + 1)(k + 6)]
Hence divisible by 3. Therefore by using the principle of mathematical induction true for all n ∈ N.
Question 6.
For all n ≥ 1 , prove that p(n): 2.7n + 3.5n – 5 is divisible by 24.
Answer:
p(1): 2.71 + 3.51 – 5 = 14 + 15 – 5 = 24 divisible by 24, hence true. Assuming that true for p(k)
p(k): 2.7k + 3.5k – 5 is divisible by 24.
⇒ 2.7k + 3.5k – 5 = 24M
p(k + 1): 2.7k + 1 + 3.5k + 1 – 5
= 2.7k.7 + 3.5k.5 – 5
= 2.7k.(6 + 1) + 3.5k.(4 + 1) – 5
= 12.7k + 2.7k + 12.5k + 3.5k – 5
= 12(7k + 5k) + (2.7k + 3.5k) – 5
= 12(7k + 5k) + 24M
7k And 5k are odd numbers, therefore (7k + 5k) will be an even and will be divisible by 24, Hence p(k + 1)divisible by 24. Therefore by using the principle of mathematical induction true for all n ∈ N.