Permutations and Combinations
Let’s review what we already know about the counting principle and permutations, and introduce the term “combination”.
Fundamental Principle of Counting: (also known as the multiplication rule for counting) If a task can be performed in n1 ways, and for each of these a second task can be performed in n2 ways, and for each of the latter a third task can be performed in n3 ways, …, and for each of the latter a kth task can be performed in nk ways, then the entire sequence of k tasks can be performed in n1 • n2 • n3 • … • nk ways.
Permutation: A set of objects in which position (or order) is important.
To a permutation, the trio of Brittany, Alan and Greg is DIFFERENT from Greg, Brittany and Alan. Permutations are persnickety (picky).

Combination: A set of objects in which position (or order) is NOT important.
To a combination, the trio of Brittany, Alan and Greg is THE SAME AS Greg, Brittany and Alan.

Let’s look at which is which:

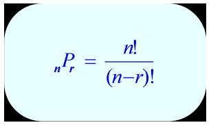
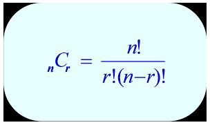
Formulas:


Example 1:

Notice how the cancellation occurs, leaving only 2 of the factorial terms in the numerator. A pattern is emerging … when finding a combination such as the one seen in this problem, the second value (2) will tell you how many of the factorial terms to use in the numerator, and the denominator will simply be the factorial of the second value (2)..
Example 2: Joleen is on a shopping spree. She buys six tops, three shorts and 4 pairs of sandals. How many different outfits consisting of a top, shorts and sandals can she create from her new purchases?
(6)(3)(4) = 72 possible outfits
Example 3: What is the total number of possible 4-letter arrangements of the letters m, a, t, h, if each letter is used only once in each arrangement?
![]()
Example 4:
There are 12 boys and 14 girls in Mrs. Schultzkie’s math class. Find the number of ways Mrs. Schultzkie can select a team of 3 students from the class to work on a group project. The team is to consist of 1 girl and 2 boys.
Order, or position, is not important. Using the multiplication counting principle,

Note:
