Get the comprehensive Chapter 4 Ex 4.1 Class 10 Maths NCERT Solutions from here and score good marks in CBSE Class 10 Board Examinations
NCERT Solutions for Class 10 Maths Chapter 4 Quadratic Equations Ex 4.1 are part of NCERT Solutions for Class 10 Maths. Here are we have given Chapter 4 Quadratic Equations Class 10 NCERT Solutions Ex 4.1.
Get NCERT Solutions for all exercise questions and examples of Chapter 4 Class 10 Quadratic Equations free. Answers to each and every question is provided solutions. Class 10 students for Math Quadratic Equations come handy for quickly completing your homework and preparing for exams.
- Quadratic Equations Class 10 Ex 4.2
- Quadratic Equations Class 10 Ex 4.3
- Quadratic Equations Class 10 Ex 4.4
| Board | CBSE |
| Textbook | NCERT |
| Class | Class 10 |
| Subject | Maths |
| Chapter | Chapter 4 |
| Chapter Name | Quadratic Equations |
| Exercise | Ex 4.1 |
| Number of Questions Solved | 2 |
| Category | NCERT Solutions |
NCERT Solutions for Class 10 Maths Chapter 4 Quadratic Equations Ex 4.1
Page No: 73
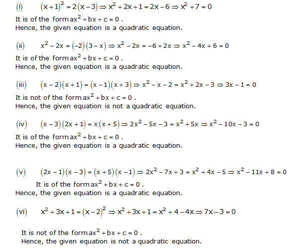
Question 1.
Check whether the following are quadratic equations:
(i) (x + 1)2 = 2(x – 3)
(ii) x2 – 2x = (-2)(3 – x)
(iii) (x -2)(x – 1) = (x – 1)(x + 3)
(iv) (x – 3)(2x + 1) = x(x + 5)
(v) (2x – 1)(x – 3) = (x + 5)(x – 1)
(vi) x2 + 3x + 1 = (x – 2)2
(vii) (x + 2)3 = 2x(x2 – 1)
(viii) x3 – 4x2 – x + 1 = (x – 2)3
Solution :


Question 2.
Represent the following situations in the form of quadratic equations.
(i) The area of a rectangular plot is 528 m2. The length of the plot (in metres) is one more than twice its breadth. We need to find the length and breadth of the plot.
(ii) The product of two consecutive positive integers is 306. We need to find the integers.
(iii) Rohan’s mother is 26 years older than him. The product of their ages (in years) 3 years from now will be 360. We would like to find Rohan’s present age.
(iv) A train travels a distance of 480 km at a uniform speed. If the speed had been 8 km/h less, then it would have taken 3 hours more to cover the same distance. We need to find the speed of the train.
Solution :


Concept Insight: Read the question carefully and choose the variable to represent what needs to found. Only one variable must be there in the final equation.
NCERT Solutions For Class 10 Maths – AplusTopperhttps://t.co/q7hSKh3xmf#NCERTSolutionsForClass10Maths #NCERTSolutions #AplusTopper
— ObulReddy cbse (@ObulReddyCBSE) August 3, 2018
We hope the NCERT Solutions for Class 10 Maths Chapter 4 Quadratic Equations Ex 4.1 help you. If you have any query regarding NCERT Solutions for Class 10 Maths Chapter 4 Quadratic Equations Ex 4.1, drop a comment below and we will get back to you at the earliest.