ICSE Maths Previous Year Question Paper 2019 Solved for Class 10
General Instructions :
- Answers to this Paper must be written on the paper provided separately.
- You will not be allowed to write during the first 15 minutes.
- This time is to be spent in reading the question paper.
- The time given at the head of this Paper is the time allowed for writing the answers.
- Attempt all questions from Section A and any four questions from Section B.
- All working, including rough work, must be clearly shown and must be done on the same sheet as the rest of
- the answer. Omission of essential working will result in the loss of marks.
- The intended marks for questions or parts of questions are given in brackets [ ].
- Mathematical tables are provided.
Section A [40 marks]
(Answer all questions from this Section.)
Question 1.
(a) Solve the following in equation and write down the solution set : [3]
11x – 4 < 15x + 4 ≤ 3x + 14, x ∈ W
Represent the solution on a real number line.
(b) A man invests 4500 in shares of a company which is paying 7.5% dividend. [3]
If 100 shares are available at a discount of 10%. Find :
(i) Number of shares he purchases.
(ii) His annual income.
(c) In a class of 40 students, marks obtained by the students in a class test (out of 10) are given below : [4]

Calculate the following for the given distribution :
(i) Median
(ii) Mode
Solution :

Total investment = ₹ 4500
Face value of a share = ₹ 100
Discount = 10%
∴ Market value of a share = ₹ (100 – 10) = ₹ 90
Now, Number of shares purchased = \(\frac{4500}{90}=50\)
Annual income = ![]()
= ₹ 375

Here,![]()
Marks corresponding to cumulative frequency 20 is 6
Thus, the required median is 6.
Clearly, 6 occurs 10 times which is maximum.
Hence, mode is 6.
Question 2.
(a) Using the factor theorem, show that (x – 2) is a factor of x3 + x2 – 4x – 4. [3]
Hence, factorise the polynomial completely.
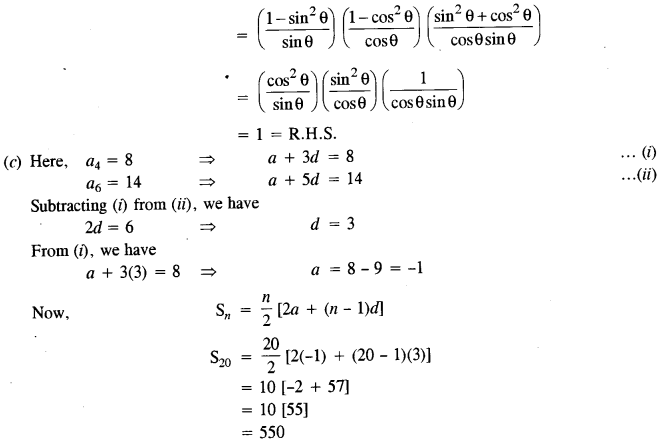
(b) Prove that :
(cosec θ – sin θ) (sec θ – cos θ) (tan θ + cot θ) = 1 [3]
(c) In an Arithmetic Progression (A.P.) the fourth and sixth terms are 8 and 14 respectively.
Find the : [4]
(i) first term
(ii) common difference
(iii) sum of the first 20 terms.
Solution :
(a) Given polynomial is p(x) = x3 + x2 – 4x – 4
x – 2 is its factor, if p(2) = 0
p(2) = (2)3 + (2)2 – 4(2) – 4 = 8 + 4 – 8 – 4 = 0
Thus, x – 2 is a factor of p(x).
Now, x3 + x2 – 4x + 4 = x2(x +1) – 4(x + 1)
= (x + 1) (x2 – 4)
= (x + 1) (x + 2) (x – 2)
Hence, the required factors are (x + 1), (x + 2) and (x – 2).
L.H.S. = (cosec θ – sin θ) (sec θ – cos θ) (tan θ + cot θ)
![]()

Hence, first term is – 1, common difference is 3 and sum of the first 20 terms is 550.
Question 3.
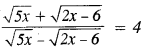
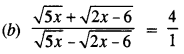
(a) Simplify :

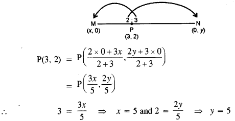
(b) M and N are two points on the X axis and Y axis respectively. [3]
P(3, 2) divides the line segment MN in the ratio 2 : 3.
Find :
(i) the coordinates of M and N
(ii) slope of the line MN.
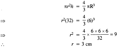
(c) A solid metallic sphere of radius 6 cm is melted and made into a solid cylinder of height 32 cm. Find the : [4]
(i) radius of the cylinder
(ii) curved surface area of the cylinder
Take π = 3.1
Solution :


(b) Let the coordinates of M and N be (x, 0) and (0, y)

Thus, the coordinates of M and N are M(5,0) and N(0, 5).
![]()
Hence, the slope of the line MN is – 1.
(C) Radius of metallic sphere (R) = 6 cm
Height of cylinder (h) = 32 cm
Volume of cylinder = Volume of metallic sphere

Curved Surface area of the year = 2πrh
= 2 × 3.1 × 3 × 32 = 595.2 cm2
Question 4.
(a) The following numbers, K + 3, K + 2, 3K – 7 and 2K – 3 are in proportion. Find K. [3]
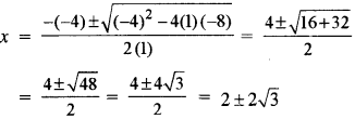
(b) Solve for x the quadratic equation x2 – 4x – 8 = 0
Give your answer correct to three significant figures.
(c) Use ruler and compass only for answering this question. [4]
Draw a circle of radius 4 cm. Mark the center as 0. Mark a point P outside the circle at a distance of 7 cm from the center. Construct two tangents to the circle from the external point P. Measure and write down the length of any one tangent
Solution :
(a) Here, \(\frac{K+3}{K+2}=\frac{3 K-7}{2 K-3}\)
⇒ (K + 3) (2K – 3) = (K + 2) (3K – 7).
⇒ 2K2 – 3K + 6K – 9 = 3K2 – 7K + 6K – 14
⇒ K2 – 4K – 5 = 0
⇒ (K – 5) (K + 1) = 0
⇒ K = 5 or K = – 1
(b) Given quadratic equation is x2 – 4x – 8 = 0
By using quadratic formula, we have

= \(2(1 \pm \sqrt{3})=2(1 \pm 1.73205)=2(2.73205) \text { or } 2(-0.73205)\)
= 5.46410 or – 1.4641
= 5.46 or – 1.46
(c) Steps of Construction :

1. Draw a circle of radius 4 cm and centre 0.
2. Draw a radius and produce it to P, such that
OP = 7 cm.
3. Bisect OP at M.
4. With M as centre and MP as radius, draw a circle to intersect the given circle at Q and R.
5. Join PQ and PR.
PQ and PR are the required tangents and length of the tangents is 5.74 cm.
Section – B [40 Marks]
(Attempt any four questions)
Question 5.
(a) There are 25 discs numbered 1 to 25. They are put in a closed box and shaken thoroughly. A disc is drawn at random from the box.
Find the probability that the number on the disc is : [3]
(i) an odd number
(ii) divisible by 2 and 3 both
(iii) a number less than 16.
(b) Rekha opened a recurring deposit account for 20 months. The rate of interest is 9% per annum and Rekha receives 441 as interest at the time of maturity. Find the amount Rekha deposited each month.
(c) Use a graph sheet for this question. [4]
Take 1 cm = 1 unit along both x and y axis.
(i) Plot the following points :
A(0, 5), B(3, 0), C(1, 0) and D(1, -5)
(ii) Reflect the points B, C and D on the y-axis and name them as B’, C’, D’ respectively.
(iii) Write down the coordinates of B’, C’ and D’.
(iv) Join the points A, B, C, D, D’, C’, B’, A in order and give a name to the closed figure ABCDD’C’B’.
Solution :
(a) Sample space = 25 discs numbered from 1 to 25.
(i) Odd numbers are 1, 3, 5, 7, 9, 11, 13, 15, 17, 19, 21, 23, 25
Probability (an odd number) = \(\frac{13}{25}\) .
(ii) Numbers divisible by 2 and 3 both are 6, 12, 18, 24
Probability (divisible by 2 and 3 both) = \(\frac{4}{25}\) .
Numbers less than 16 are 1 to 15
(iii) Probability (a no. less than 16) = \(\frac{15}{25}\) or \(\frac{3}{5}\)
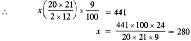
(b) Here, n = 20, R = 9% p.a., Interest = ₹ 441
Let the monthly deposit be of ₹ x.

Hence, the monthly deposit is ₹ 280.
(c) (i) and (ii)

(iii) B’ (- 3, 0), C’ (- 1, ) and D’ (- 1, – 5)
(iv) Arrow Head.
Question 6.
(a) In the given figure,∠PQR = ∠PST = 90°, PQ = 5 cm and PS = 2 cm.
(i) Prove that△PQR ∼ APST.
(ii) Find Area of △PQR : Area of quadrilateral SRQT.

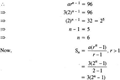
(b) The first and last term of a Geometrical Progression (G.P.) are 3 and 96 respectively. If the
common ratio is 2, find :
(i) ‘n’ the number of terms of the G.P.
(ii) Sum of the n terms.
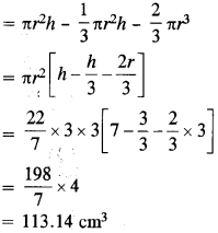
(c) A hemispherical and conical hole is scooped out of a solid wooden cylinder.
Find the volume of the remaining solid where the measurements are as follows : [4]
The height of the solid cylinder is 7 cm, radius of each of hemisphere, cone and cylinder is 3 cm. Height of cone is 3 cm. Give your answer correct to the nearest whole number. Take π = \(\frac{22}{7}\)

Solution :


(b) Given that, a = 3 and an = 96, r = 2

(c) Given that :
Radius of each of hemisphere, cone and cylinder (r) = 3 cm
Height of cylinder = 7 cm
Height of cone = 3 cm
Volume of remaining solid = Vol. of cylinder – Vol. of cone – Vol. of hemisphere

Question 7.
(a) In the given figure, AC is a tangent to the circle with centre 0.
If ∠ADB = 55°, find x and y. Give reasons for your answers. [3]
(b) The model of a building is constructed with the scale factor 1:30. [3]
(i) If the height of the model is 80 cm, find the actual height of the building in metres.

(ii) If the actual volume of a tank at the top of the building is 27 m, find the volume of the tank on the top of the model.
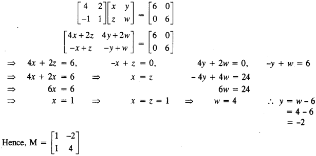
(c) Given ,
M = 6I, where M is a matrix and I is unit matrix of order 2 x 2.
(i) State the order of matrix M.
(ii) Find the matrix M. [4]
Solution:
(a) We know that angle between the radius and the tangent at the point of contact is right angle.

(b) Here, scale factor (k) = \(\frac{1}{30}\)
(i) Height of the model = k(Actual height of the building)
⇒ 80 cm = \(\frac{1}{30}\) (Actual height of the building)
⇒ Actual height of the building = 30 × 80 = 2400 cm
(ii) Volume of the tank at the top of the model
= k3(Actual volume of the tank)
⇒ Volume of the tank at the top of the model

(c) Here,

∴ The order of matrix M = 2 × 2

Question 8.
(a) The sum of the first three terms of an Arithmetic Progression (A:P.) is 42 and the product of the first and third term is 52. Find the first term and the common difference. [3]
(b) The vertices of a ∆ABC are A(3, 8), B(-1, 2) and C(6, -6). Find : [3]
(i) Slope of BC.
(ii) Equation of a line perpendicular to BC and passing through A.
(c) Using ruler and a compass only construct a semi-circle with diameter BC = 7 cm. Locate a
point A on the circumference of the semicircle such that A is equidistant from B and C. Complete the cyclic quadrilateral ABCD, such that D is equidistant from AB and BC. Measure ∠ADC and write it down. [4]
Solution :
(a) Let the first three terms of an A.P. be a – d, a and a + d.
According to the statement, we have
a – d + a + a + d = 42
3a = 42
a = 14
Now,(a – d)(a + d) = 52
a2 – d2 = 52
142 – d2 = 52
⇒ d2 = 196 – 52 = 144
⇒ d = ± 12
Hence, the first term is 14 and common difference is ± 12.
(b) Vertices of a ∆ABC are A(3, 8), B(-1, 2) and C(6, -6)
![]()
Slope of the line perpendicular to BC = \(\frac{7}{8}\)
Now, equation of the line perpendicular to BC and passing through A is
![]()
8y – 64 = 7x – 21
7x – 8y + 43 = 0
(C) Steps of Construction :
1. Draw a line segment BC = 7 cm.
2. Draw its perpendicular bisector 1 and let it intersect BC in M.
3. With M as centre and radius equal to BM or CM, draw a semi-circle and let the semi-circle intersect the perpendicular bisector of line segment BC in A. Join BA.
4. Draw the angle bisector of ∠ABC and let it intersect the semi-circle in D.
5. Join AD and CD.

Hence, ∠ADC = 135°
Question 9.
(a) The data on the number of patients attending a hospital in a month are given below. [3]
Find the average (mean) number of patients attending the hospital in a month by using the shortcut method.
Take the assumed mean as 45. Give your answer correct to 2 decimal places.
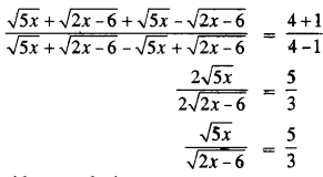
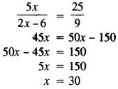
(b) Using properties of proportion solve for x, given [3]

(c) Sachin invests ₹ 8500 in 10%, ₹ 100 shares at ₹ 170. He sells the shares when the price of each share rises by ₹ 30 He invests the proceeds in 12% ₹ 100 shares at ₹ 125. Find :
(i) the sale proceeds. [4]
(ii) the number of ₹ 125 shares he buys.
(iii) the change in his annual income.
Solution :



Applying componendo and dividendo, we have

Squaring both sides, we obtain

(C) Total investment = ₹ 8500
Market value of each share = ₹ 170
Number of shares purchased = \(\frac{8500}{170}\) = 50
Dividend received = ₹ \(\frac{10}{100}\) × 50 × 100 = ₹ 500
Now, market value of each share = ₹ (170 + 30) = ₹ 200
Amount received on selling = ₹ (50 x 200) = ₹ 10000
Market value of new shares = ₹ 125 each
Number of shares purchased = \(\frac{10000}{125}\) = 80
Dividend received = \(\frac{12}{100}\) × 80 ×100 = ₹960
Change in income = ₹ (960 – 500)
= ₹ 460
Question 10.
(a) Use graph paper for this question. [6]
The marks obtained by 120 students in an English test are given below :

Draw the ogive and hence, estimate :
(i) the median marks.
(ii) the number of students who did not pass the test if the pass percentage was 50.
(iii) the upper quartile marks.
(b) A man observes the angle of elevation of the top of the tower to be 45°. He walks towards it in a horizontal line through its base. On covering 20 m the angle of elevation changes to 60°. Find the height of the tower correct to 2 significant figures. [4]
Solution :
(a)

Plot the points (10, 5), (20, 14), (30, 30), (40, 52), (50, 78), (60, 96), (70, 107), (80, 113), (90, 117), (100, 120). On the graph paper by taking upper limits on x-axis and number of students on y-axis. Join them free hand to get smooth curve.

Here, N = 120
\(\frac{N}{2}\) = \(\frac{120}{2}\) = 60
Median marks = 42 marks
Number of students who did not pass = 78 students
Upper quartile marks = 57 marks
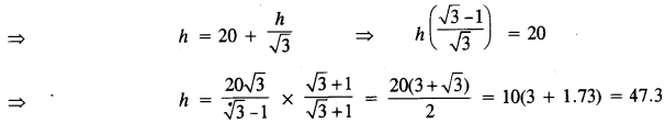
(b) Let AB be the tower of height h m. P and Q are the two observing points, such that
∠APB = 45°, ∠AQB = 60°, PQ = 20 m
In rt. ∠ed ∆QBA,

In rt. ∠ed ∆QBA,


Hence, the height of the tower is 47.3 m.
Question 11.
(a) Using the Remainder Theorem find the remainders obtained when xy + (kx + 8)x + k is divided by x + 1 and x – 2. [3]
Hence, find k if the sum of the two remainders is 1.
(b) The product of two consecutive natural numbers which are multiples of 3 is equal to 810. Find the two numbers. [3]
(c) In the given figure, ABCDE is a pentagon inscribed in a circle such that AC is a diameter and side BC||AE. If ∆BAC = 50°, find giving reasons : [4]
(i) ∠ACB
(ii) ∠EDC
(iii) ∠BEC

Hence, prove that BE is also a diameter.
Solution :
Given polynomial is p(x) = x3 +(kx + 8)x + k
g(x) = x + 1
∴ R1 = P(-1)
= (-1)3 + {k{-1} + 8} (-1) + k
= -1 + k – 8 + k
= 2k – 9
h(x) = x – 2
∴ R2 = P(2)
= (2)3 + (2k + 8)2 +k
= 8 + 4k + 16 + k
5k + 24
Now, R1 + R2 = 1
⇒ 2k – 9 + 5k + 24 = 1
⇒ 7k = 1 + 9 – 24
⇒ 7k = – 14
⇒ k = – 2
(b) Let the two consecutive natural numbers which are multiples of 3 be 3x and 3(x + 1).
Now, 3x(3x + 3) = 810
⇒ x2 + x = 90
⇒ x2 + x – 90 = 0
⇒ (x + 10) (x – 9) = 0
⇒ x = 9 or x = – 10
Rejecting negative value of x, because numbers are natural. We have x = 9.
Hence, the required numbers are 27 and 30.
(c) Since AC is a diameter and angle in a semi-circle is right angle
∠B = 90° and
∠ACB = 40°
Also, BC || AE
∠EAC = ∠ACB
= 40°
[alt. int. ∠s]

In cyclic quadrilateral ACDE
∠EAC + ∠EDC = 180°
40° + ∠EDC = 180°
∠EDC = 180° – 40° = 140°
∠BEC = ∠BAC
= 50° [∠s in the same segment]
Also,
∠EAC = ∠EBC
= 40° [∠s in the same segment]
∠ABE = ∠ABC – ∠EBC
= 90° – 40°
= 50°
Again, ∠ABE = ∠ACE = 50° [∠s in the same segment]
Now, ∠ACE +∠ACB = 50° + 40°
= 90°
∠BCE = 90°
Hence, BE is a diameter, because angle is a semi-circle is right angle.