Frank ICSE Solutions for Class 9 Maths Triangles and Their Congruency Ex 11.1
Download Formulae Handbook For ICSE Class 9 and 10
Frank ICSE Solutions for Class 9 Maths Chapter 11 Triangles and Their Congruency Ex 11.1
Answer 1.

Answer 2.

Answer 3.

Answer 4.


Answer 5.

Answer 6.


Answer 7.

Answer 8.



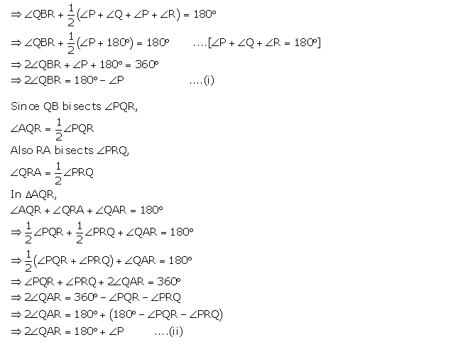
Answer 9.

Answer 10.

Answer 11.


Answer 12.

Answer 13.

Answer 14.

Answer 15.

Answer 16.

