Frank ICSE Solutions for Class 9 Maths Linear Equations Ex 7.1
Download Formulae Handbook For ICSE Class 9 and 10
Frank ICSE Solutions for Class 9 Maths Chapter 7 Linear Equations Ex 7.1
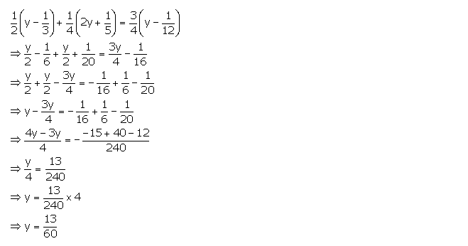
Answer 1.


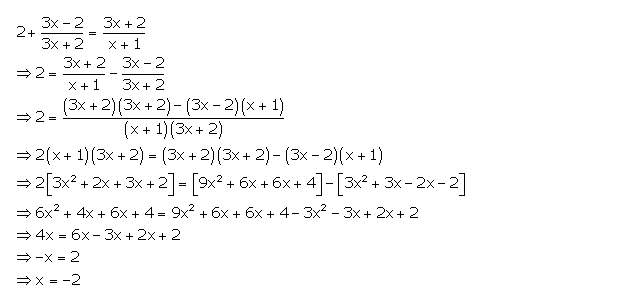
Answer 2.




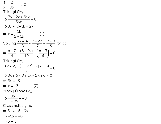
Answer 3A.

Answer 3B.

Answer 3C.

Answer 3D.

Answer 3E.

Answer 3F.

Answer 3G.

Answer 3H.

Answer 3I.

Answer 3J.

Answer 4A.

Answer 4B.

Answer 4C.

Answer 4D.

Answer 4E.

Answer 4F.

Answer 4G.

Answer 4H.

Answer 4I.

Answer 4J.

Answer 4K.

Answer 4L.

Answer 4M.

Answer 4N.

Answer 5A.

Answer 5B.

Answer 5C.

Answer 5D.

Answer 6.

Answer 7.


Answer 8.

Answer 9.


Answer 10.

Answer 11.

Answer 12.

Answer 13.

Answer 14.

Answer 15.


Answer 16.
