Frank ICSE Solutions for Class 9 Maths Irrational Numbers Ex 1.2
Download Formulae Handbook For ICSE Class 9 and 10
Frank ICSE Solutions for Class 9 Maths Chapter 1 Irrational Numbers Ex 1.2
Answer 1A.

Answer 1B.

Answer 1C.

Answer 1D.

Answer 2A.

Answer 2B.

Answer 2C.

Answer 2D.

Answer 3.

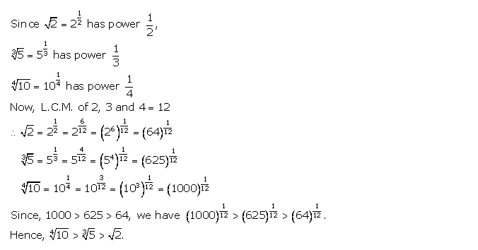
Answer 4.

Answer 5A.

Answer 5B.

Answer 5C.

Answer 5D.

Answer 5E.

Answer 5F.

Answer 6A.

Answer 6B.

Answer 7A.

Answer 7B.

Answer 7C.

Answer 7D.

Answer 8A.

Answer 8B.

Answer 8C.

Answer 9.

Answer 10.

Answer 11.

Answer 12.

Answer 13A.

Answer 13B.

Answer 13C.

Answer 13D.

Answer 13E.

Answer 13F.

Answer 14.

