Frank ICSE Solutions for Class 9 Maths Indices Ex 9.1
Frank ICSE Solutions for Class 9 Maths Chapter 9 Indices Ex 9.1
Download Formulae Handbook For ICSE Class 9 and 10
Answer 1.

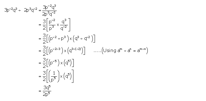
Answer 2A.

Answer 2B.

Answer 2C.


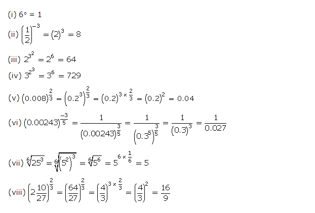
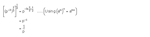
Answer 3A.

Answer 3B.

Answer 3C.

Answer 3D.

Answer 3E.

Answer 4.



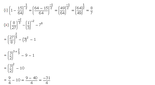
Answer 5A.

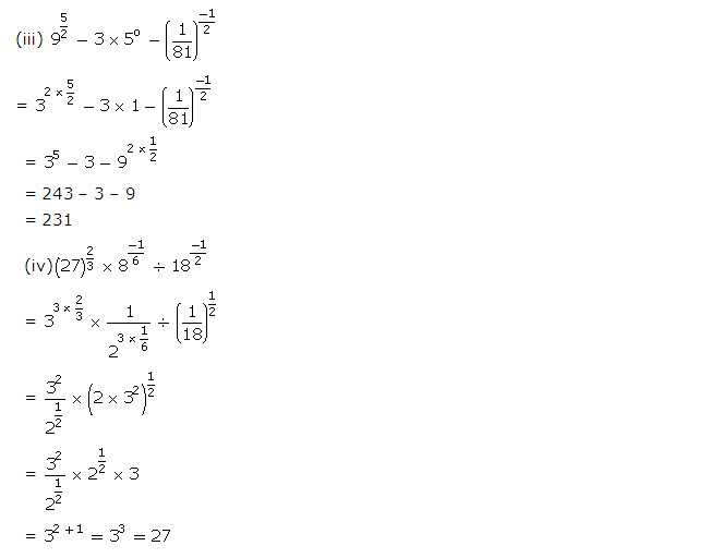
Answer 5B.

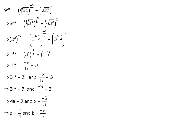
Answer 6.



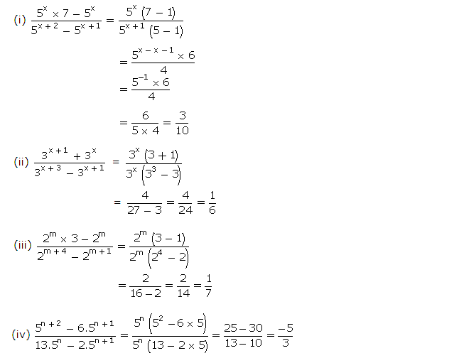
Answer 7A.

Answer 7B.

Answer 7C.

Answer 7D.

Answer 7E.

Answer 7F.

Answer 7G.

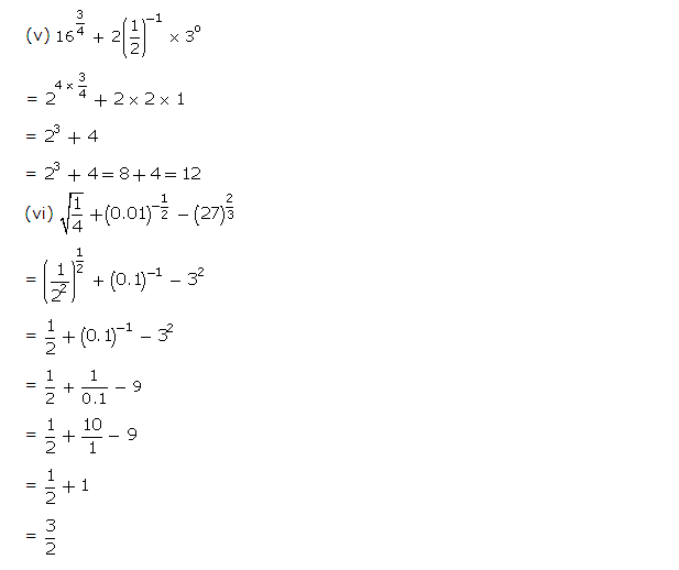
Answer 7H.

Answer 7I.

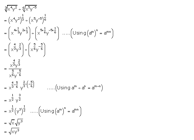
Answer 7J.


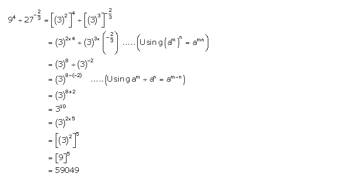
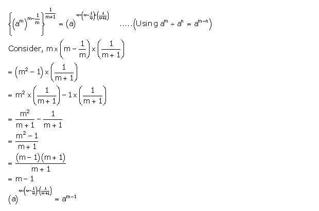
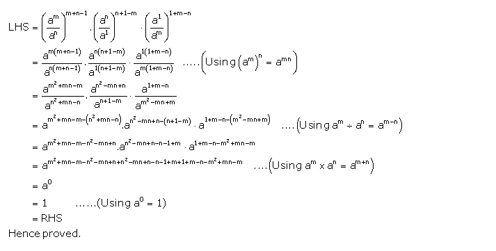
Answer 8.

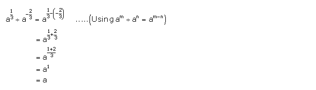
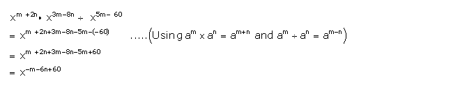
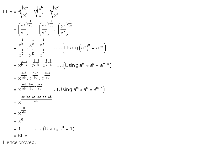
Answer 9A.

Answer 9B.

Answer 9C.

Answer 9D.

Answer 9E.

Answer 9F.

Answer 9G.

Answer 9H.

Answer 9I.

Answer 9J.

Answer 9K.

Answer 9L.

Answer 9M.

Answer 9N.

Answer 9O.

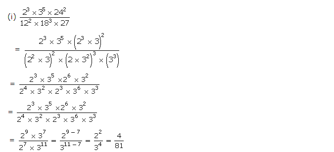
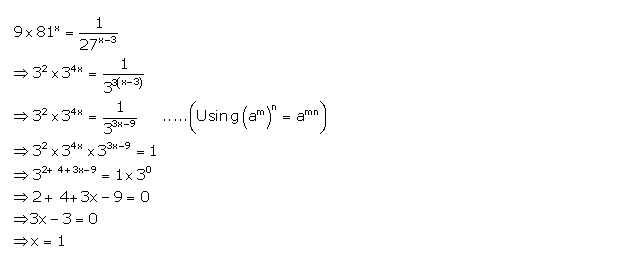
Answer 10.


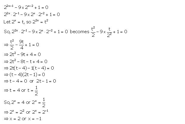
Answer 11.

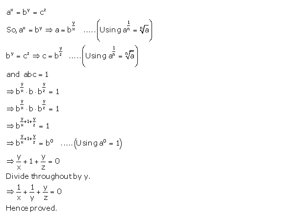
Answer 12.

Answer 13.

Answer 14.

Answer 15.

Answer 16.

Answer 17.

Answer 18.

Answer 19.

Answer 20.

Answer 21.

Answer 22A.

Answer 22B.


Answer 23A.

Answer 23B.

Answer 23C.

Answer 23D.

Answer 23E.

Answer 23F.
