Frank ICSE Solutions for Class 9 Maths Changing the Subject of a Formula Ex 6.2
Download Formulae Handbook For ICSE Class 9 and 10
Frank ICSE Solutions for Class 9 Maths Chapter 6 Changing the Subject of a Formula Ex 6.2
Answer 1.

Answer 2.

Answer 3.

Answer 4.

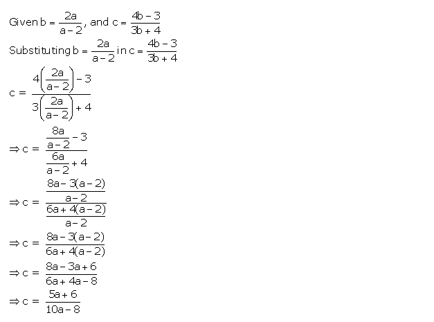
Answer 5.

Answer 6.

Answer 7.

Answer 8.

Answer 9.

Answer 10.

Answer 11.

Answer 12.

Answer 13.

Answer 14.

Answer 15.

Answer 16.

Answer 17.

Answer 18.

Answer 19.

Answer 20.
