Frank ICSE Solutions for Class 10 Maths Trigonometric Identities Ex 21.1
Download Formulae Handbook For ICSE Class 9 and 10
Frank ICSE Solutions for Class 10 Maths Trigonometric Identities Ex 21.1
Answer 1.




Answer 2.




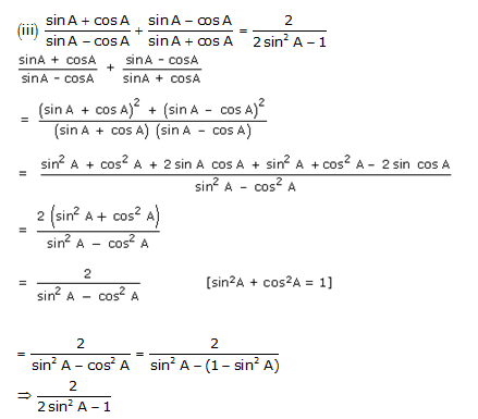
Answer 3.




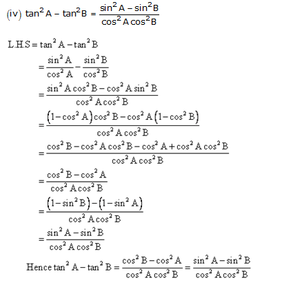
Answer 4.


Answer 5.











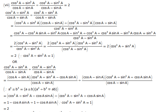
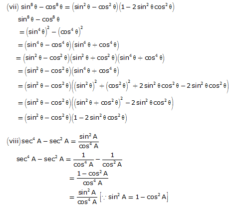
Answer 6.










