Frank ICSE Solutions for Class 10 Maths Linear Inequations Ex 5.1
Download Formulae Handbook For ICSE Class 9 and 10
Frank ICSE Solutions for Class 10 Maths Linear Inequations Ex 5.1
Answer 1.

Answer 2.

Answer 3.

Answer 4.

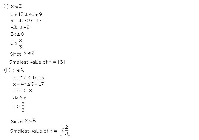
Answer 5.

Answer 6.

Answer 7

Answer 8.

Answer 9.

Answer 10.

Answer 11.

Answer 12.

Answer 13.

Answer 14.

Answer 15.

Answer 16.
