Determinant of a Matrix

Determinant
Let us consider three homogeneous linear equations a1x + b1y + c1z = 0, a2x + b2y + c2z = 0 and a3x + b3y + c3z = 0
Eliminated x, y, z from above three equations we obtain
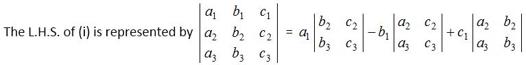
a1(b2c3 − b3c2) − b1(a2c3 –a3c2) + (a2b3 – a3b2) = 0 …….(i)

Its contains three rows and three columns, it is called a determinant of third order.
The number of elements in a second order is 22 = 4 and the number of elements in a third order determinant is 32 = 9.
Rows and columns of a determinant : In a determinant horizontal lines counting from top 1st, 2nd, 3rd,….. respectively known as rows and denoted by R1, R2, R3, ……. and vertical lines counting left to right, 1st, 2nd, 3rd,….. respectively known as columns and denoted by C1, C2, C3, …….
Properties of determinants
- The value of determinant remains unchanged, if the rows and the columns are interchanged.
Since the determinant remains unchanged when rows and columns are interchanged, it is obvious that any theorem which is true for ‘rows’ must also be true for ‘columns’. - If any two rows (or columns) of a determinant be interchanged, the determinant is unaltered in numerical value but is changed in sign only.
- If a determinant has two rows (or columns) identical, then its value is zero.
- If all the elements of any row (or column) be multiplied by the same number, then the value of determinant is multiplied by that number.
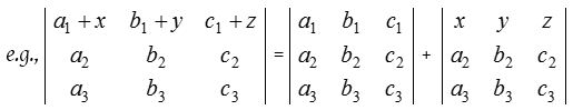
- If each element of any row (or column) can be expressed as a sum of two terms, then the determinant can be expressed as the sum of the determinants.

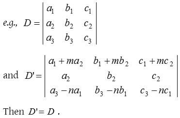
- The value of a determinant is not altered by adding to the elements of any row (or column) the same multiples of the corresponding elements of any other row (or column)

- If all elements below leading diagonal or above leading diagonal or except leading diagonal elements are zero then the value of the determinant equal to multiplied of all leading diagonal elements.
- If a determinant D becomes zero on putting x = α, then we say that x – α is factor of determinant.
- It should be noted that while applying operations on determinants then at least one row (or column) must remain unchanged or, Maximum number of operations = order of determinant –1.
- It should be noted that if the row (or column) which is changed by multiplied a non-zero number, then the determinant will be divided by that number.
Minors and Cofactors
Minor of an element:
If we take the element of the determinant and delete (remove) the row and column containing that element, the determinant left is called the minor of that element. It is denoted by Mij.

Similarly, we can find the minors of other elements. Using this concept the value of determinant can be
∆ = a11M11 – a12M12 + a13M13
or, ∆ = – a21M21 + a22M22 – a23M23
or, ∆ = a31M31 – a32M32 + a33M33
Cofactor of an element:
The cofactor of an element aij (i.e. the element in the ith row and jth column) is defined as (–1)i+j times the minor of that element. It is denoted by Cij or Aij or Fij.
Cij = (–1)i+j Mij.

where C11 = (–1)1+1 M11 = +M11 , C12 = (–1)1+2 M12 = –M12 and C13 = (–1)1+3 M13 = +M13
Similarly, we can find the cofactors of other elements.
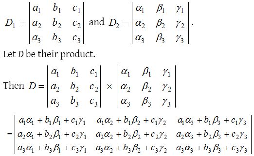
Product of two determinants
Let the two determinants of third order be,

We can also multiply rows by columns or columns by rows or columns by columns.
Application of determinants in solving a system of linear equations
(1) Solution of system of linear equations in three variables by Cramer’s rule:
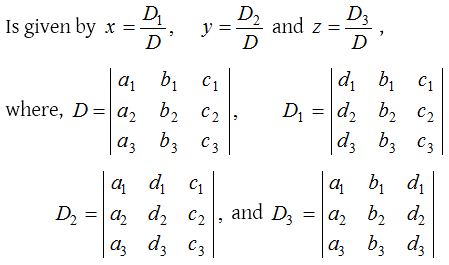
The solution of the system of linear equations
a1x + b1y + c1z = d1 …..(i)
a2x + b2y + c2z = d2 …..(ii)
a3x + b3y + c3z = d3 …..(iii)

Provided that D ≠ 0
(2) Conditions for consistency:
For a system of 3 simultaneous linear equations in three unknown variable.
(i) If D ≠ 0, then the given system of equations is consistent and has a unique solution given by x = D1/D, y = D2/D and z = D3/D.
(ii) If D = 0 and D1 = D2 = D3 = 0, then the given system of equations is consistent with infinitely many solutions.
(iii) If D = 0 and at least one of the determinants D1, D2, D3 is non-zero, then given of equations is inconsistent.
Some special determinants
(1) Symmetric determinant:
A determinant is called symmetric determinant if for its every element aij = – aji ∀ i, j.

(2) Skew-symmetric determinant:
A determinant is called skew symmetric determinant if for its every element aij = – aji ∀ i, j.

- Every diagonal element of a skew symmetric determinant is always zero.
- The value of a skew symmetric determinant of even order is always a perfect square and that of odd order is always zero.
(3) Cyclic order:
If elements of the rows (or columns) are in cyclic order. i.e.,
