What is the De’ Moivre’s Theorem?
(1) If n is any rational number, then (cos θ + i sin θ)n = cos nθ + i sin nθ.
(2) If z = (cos θ1 + i sin θ1) (cos θ2 + i sin θ2) (cos θ3 + i sin θ3)………… (cos θn + i sin θn)
then z = cos (θ1 + θ2 + θ3 + ……… + θn) + i sin (θ1 + θ2 + θ3 + ……… + θn)
where θ1 + θ2 + θ3 + ……… + θn ∈ R.
(3) If z = r(cos θ + i sin θ) and n is a positive integer, then

Deductions:
If n ∈ Q, then
(i) (cos θ − i sin θ)n = cos nθ − i sin nθ
(ii) (cos θ + i sin θ)-n = cos nθ − i sin nθ
(iii) (cos θ − i sin θ)-n = cos nθ + i sin nθ

This theorem is not valid when n is not a rational number or the complex number is not in the form of cos θ + i sin θ.
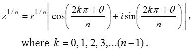
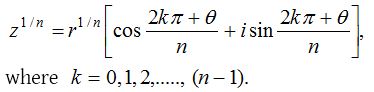
Roots of a complex number
(1) nth roots of complex number (z1/n)
Let z = r(cos θ + i sin θ) be a complex number. By using De’moivre’s theorem nth roots having n distinct values of such a complex number are given by

Properties of the roots of z1/n
(i) All roots of z1/n are in geometrical progression with common ratio e2πi/n.
(ii) Sum of all roots of z1/n is always equal to zero.
(iii) Product of all roots of z1/n = (−1)n-1 z.
(iv) Modulus of all roots of z1/n are equal and each equal to r1/n or |z|1/n
(v) Amplitude of all the roots of z1/n are in A.P. with common difference 2π/n.
(vi) All roots of z1/n lies on the circumference of a circle whose centre is origin and radius equal to |z|1/n. Also these roots divides the circle into n equal parts and forms a polygon of n sides.
(2) The nth roots of unity
The nth roots of unity are given by the solution set of the equation

Properties of nth roots of unity
(i) Let
the nth roots of unity can be expressed in the form of a series i.e., 1, α, α2, ….. αn-1. Clearly the series is G.P. with common ratio α i.e., ei(2π/n).
(ii) The sum of all n roots of unity is zero i.e., 1, α, α2, ….. αn-1 = 0.
(iii) Product of all n roots of unity is (−1)n-1.
(iv) Sum of pth power of n roots of unity

(v) The n, nth roots of unity if represented on a complex plane locate their positions at the vertices of a regular polygon of n sides inscribed in a unit circle having centre at origin, one vertex on positive real axis.

If one of the complex root is then other root will be or vice-versa.
Properties of cube roots of unity

(iv) The cube roots of unity, when represented on complex plane, lie on vertices of an equilateral triangle inscribed in a unit circle having centre at origin, one vertex being on positive real axis.
(v) A complex number a + ib, for which |a : b|= 1 : √3 or √3 : 1, can always be expressed in terms of i, ω, ω2.
(vi) Cube root of –1 are −1, −ω, −ω2.
(4) Fourth roots of unity : The four, fourth roots of unity are given by the solution set of the equation x4 − 1 = 0.
⇒ (x2 – 1)(x2 + 1) = 0 ⇒ x = ±1, ±i
Fourth roots of unity are vertices of a square which lies on coordinate axes.