CBSE Sample Papers for Class 9 Science Paper 1 are part of CBSE Sample Papers for Class 9 Science. Here we have given CBSE Sample Papers for Class 9 Science Paper 1.
CBSE Sample Papers for Class 9 Science Paper 1
| Board | CBSE |
| Class | IX |
| Subject | Science |
| Sample Paper Set | Paper 1 |
| Category | CBSE Sample Papers |
Students who are going to appear for CBSE Class 9 Examinations are advised to practice the CBSE sample papers given here which is designed as per the latest Syllabus and marking scheme as prescribed by the CBSE is given here. Paper 1 of Solved CBSE Sample Paper for Class 9 Science is given below with free PDF download solutions.
Time Allowed : 3 Hours
Max. Marks: 80
General Instructions
- The question paper comprises of two Sections, A and B. You are to attempt both the sections.
- All questions are compulsory. How ever an internal choice will be provided in two questions of 3 marks each and one question of five marks.
- All questions of Section A and all questions of Section B are to be attempted separately.
- Question numbers 1 to 2 in Section A are one-mark questions. These are to be answered in one word or in one sentence.
- Question numbers 3 to 5 in Section A are two-marks questions. These are to be answered in about 30 words each.
- Question numbers 6 to 15 in Section A are three-marks questions. These are to be answered in about 50 words each.
- Question numbers 16 to 21 in Section A are five-marks questions. These are to be answered in about 70 words each.
- Question numbers 22 to 27 in Section B are two-marks questions based on practical skills. These are to be answered in brief
Questions
SECTION-A
Question 1.
Name the following tissues:
- found in the iris of the eye,
- that connects two bones.
Question 2.
Define formula unit mass.
Question 3.
Explain an activity to show during free fall, both heavier and lighter objects accelerate at the same rate.
Question 4.
Explain:
- Sponge though compressible is a solid.
- Rubber band though stretchable is a solid.
Question 5.
Why are plants and animals made up of different tissues?
Question 6.
- State the difference between a pure substance and mixture. Give one example of each.
- Identify homogeneous mixtures from the following:
- Smoke
- Brass
- Tincture of iodine
- Milk
Question 7.
You are provided with a mixture of camphor, common salt and soil. Using various techniques how will you separate the components of this mixture. Write the various steps involved.
Question 8.
Explain with the examples from your daily life where cooling is caused by evaporation.
Question 9.
Neha’s mother is a good cook. She uses natural colours to give colours to different food items. She uses turmeric for yellow colour, spinach for green colour and pomegrante for red colour. She always try to avoid synthetic colours. Answer the following questions based on the above information:
- Name the technique used to separate pigments from natural colours.
- Write the principle of that technique.
- Explain the values that are displayed by Neha’s mother.
Question 10.
Sate the meaning of layers. Why limestone is added in their diet? Name another dietary requirement of poultry birds.
Question 11.
Which accident will be more damaging, collision between two trucks moving with a speed of 50 km/hr or collision between two cars moving with a speed of 50 km/hr? Explain.
OR
In which direction do the following forces act when an object is in motion:
- Frictional force
- Gravitational force
- Centripetal force
Question 12.
Define uniformly accelerated motion and uniform motion. Also write any two equations of uniformly accelerated motion.
Question 13.
Give reasons:
- Which division among plants have the simplest organisms?
- How do Gymnosperms and Angiosperms differ from each other?
Question 14.
- Why a person suffering once from small pox cannot suffer from it again?
- Name one disease associated with the attack of microbes on lungs.
Question 15.
- Why are the shells in which electrons revolve called energy shells?
- Name the first four shells.
- How many electrons can be there in M shell?
OR
- Calculate the molar mass of CH3COOH. [Atomic mass of C = 12 u, H = 1 u, O = 16 u]
- Write the molecular formula for
- Aluminium chloride
- Ammonium nitrate
Question 16.
State with reasons, if it is possible or impossible, for an object in motion to have:
- Zero distance covered and may have non zero displacement.
- Zero speed at an instant but non zero acceleration at the same time.
- Zero speed and may have non zero velocity.
- Acceleration opposite to the direction of motion.
- Positive acceleration while speeding up.
Question 17.
Identify the following tissues:
- The epithelial tissue having pillar like tall cells.
- The cells of this tissue are filled with fat globules.
- The movement of this tissue pushes the mucous forward to clear the respiratory tract.
- It gives buoyancy to lotus to help afloat in water.
- Tissue present in lung alveoli.
Question 18.
- Prove that if the earth attracts two bodies placed at the same distance from the centre of earth, with equal force; then their masses will be the same.
- Mathematically express the acceleration due to gravity for a free falling object.
- Why is ‘G’ called a universal constant?
Question 19.
- What is biogeochemical cycle?
- Draw a labelled diagram of nitrogen cycle.
Question 20.
(a) Derive an expression for kinetic energy of a moving body.
(b) Name the type of energy possessed by
(i) Flowing water
(ii) Stretched rubbed band
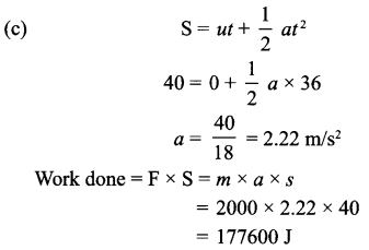
(c) A car weighing 2000 kg is accelerated from rest and covers a distance of 40 m in 6 seconds. Calculate the work done by the car.
Question 21.
- Give the difference between thrust and pressure.
- Why does an object float or sink when placed on the surface of water?
- What do you mean by Buoyancy.
OR
- Drive an expression for Potential energy of a body.
- When do you say that work is done?
- A porter lifts a luggage of 15 kg from the ground and puts on his head 1.5 m above the ground. Calculate the work done by him in lifting the luggage.
SECTION-B
Question 22.
You are given a sphere of radius 2 cm. If you are asked to select a best suited spring balance to determine its weight, then out of the following which one would you prefer? The sphere is made of an alloy of density 7 × 103 kg m-3.
(a) Range 0-1000 gwt, Least count 5 gwt.
(b) Range 0-500 gwt, Least count 2.5 gwt.
(c) Range 0-250 gwt, Least count 2.5 gwt.
(d) Range 0-100 gwt, Least count 1 gwt.
Question 23.
A student, while verifying the laws of reflection of sound, measured the angle between the incident sound waves and reflected sound waves as 54°. Calculate the angle of reflection.
Question 24.
A hot body releases heat energy. List the factors on which the amount of heat energy lost by a body in a given time depends upon?
Question 25.
When the monocot seed starts germinating initially, what type of root system do you observe?
Question 26.
Give two examples of connective tissues.
Question 27.
What are the effects of adulteration of food items?
Answers
SECTION-A
Answer 1.
- Unstriated muscle
- Ligament
Answer 2.
The mass of all the ionic species present in the formula unit of an ionic molecule.
Answer 3.
Drop two balls with different masses from a tall building at the same time. They will reach the ground at the same time. Both the balls are at free fall and their initial velocity is same, that is zero. You know that s = \(\frac { 1 }{ 2 } \) gt
So the only way that they touch the ground at the same time is that acceleration is same for both the balls. This experiment proves that during free fall every object accelerate at the same rate, irrespective of its mass.
Answer 4.
- Sponge has minute pores in which air can be trapped, when pressed the air is expelled out and so it is compressible. However all its other characteristics is representing solid-state of matter & hence it is considered a solid.
- Rubber band changes its shape under the influence of force and regains the shape when the force is removed. That is why it is stretchable, but its constituent arrange itself as in solid state of matter. Hence, it is consider a solid.
Answer 5.
Plants are stationary thus their supportive tissues are made up of dead cells.
Animals move, hence they possess living cells to provide energy for movement. Also, for the many more differences and functions in plants and animals, they are made up of different tissues.
Answer 6.
- Pure substances contain only kind of particles or two or more particles in a fixed ratio while impure substances contain more than one kind of particles.
- Brass
- Tincture of iodine
Answer 7.

Answer 8.
When a liquid evaporates, it draws the latent heat of vapourisation from anything which it touches. Thus causes cooling.
For example:
- Sweating makes us feel cool.
- Sprinkling water on roof or on an open ground, during summers helps to cool down their surface.
Answer 9.
- Chromatography
- Different colours get separated due to different rates of rising as a result of different rates of adsorption by the solvent.
- Awareness, caring attitude for the family, skillful person.
Answer 10.
- Layers are the birds reared for egg production.
- Limestone is added in their diet to form the strong shell of eggs.
- Another dietary requirement – Proteins and roughage.
Answer 11.
Collision between trucks will be more damaging.
This is because more is the mass more is the inertia and therefore more is the momentum. Mass of the trucks is more than that of cars so collision of trucks will cause more damage.
OR
- Backwards or opposite to the direction of motion.
- Downwards the earth’s surface.
- Towards the centre of the circular path along which the body is moving.
Answer 12.
When a body travels equal distance in equal intervals of time, its motion is called uniform motion.
If an object travels in a straight line and its velocity increases or decreases by equal amounts in equal intervals of time, then the acceleration of the object is said to be uniform and motion is said to be uniformly accelerated motion.
Equations: v = u + at and v2 = u2 + 2as
Answer 13.
1. Thallophyta, because plants in this division have the simplest body design.
2. Any two differences
Gymnosperms | Ingiosperms |
• Plants of this group bear naked seeds and are usually perennial, evergreen & woody. | • Plants of this group bear seeds covered inside fruit. They are also called flowering plants. |
| • E.g. Pines, Deodar | • E.g. Ipomoea, Paphiopedilum |
Answer 14.
- There is development of immunity against small pox with formation of memory cells.
Memory cells attack more vigorously and quickly if the microbe enters the body second time. - Tuberculosis
Answer 15.
- Because each shell has its own fixed energy.
- K, L, M, N
- 18 Electrons
OR
- Molar mass of CH3COOH = 12u + 3u × 1 + 12 u + 16u + 16u + 1 u
= 60 u - AlCl3
- NH4NO3
Answer 16.
- Impossible, as displacement refers to the shortest route or minimum possible distance to travel from initial to final position.
- Possible, as the object/ball kept on a height may have zero speed, but due to acceleration due to gravity, i.e. non-zero acceleration it tends to fall down.
- Impossible, as speed is equal to zero so displacement is also zero.
- Possible, in case of frictional force, a moving body may have retardation opposite to the direction of motion.
- Possible, as speed is increasing so does the velocity is increasing and thus, acceleration is postive.
Answer 17.
- Columnar
- Adipose
- Ciliated columnar epithelial
- Aerenchyma
- Squamous epithelial
Answer 18.
- Let mass of the first body be m1
Let mass of the second body by m2
Force on 1 st body = Force on 2nd body

G and G cancel, M and M cancel R2 and R2 cancel
This leaves M1 = M2
Hence proved. - g = \(\frac { Gm }{ { R }^{ 2 } } \)
- Its value is constant everywhere in the universe.
Answer 19.
1. Cyclic flow of nutrients between the living and non living components of the biosphere in a dynamic but stable manner called biogeochemcial cycle.
2.

Answer 20.
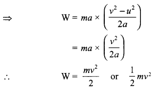
(a) Let there be an object of mass, m at rest, i.e. initial velocity, u = 0
From Newton’s II nd Law of Motion, we have
v2 – u2 = 2as
Where, v = Final velocity;
u = Initial velocity
s = Displacement of an object
a = Acceleration
Let the object at rest be moved by displacement, s.
Let V be the final velocity on moving the object, and ‘a’ be the acceleration produced. Now, from Newton’s Illrd Law of Motion, we know that force acting on the object,
F = ma
Now work done on the object
W = F.s

Here, work done is equal to the change in the kinetic energy of the object.
Kinetic Energy, K.E = 1/2 mv2
(b) (i) Kinetic energy
(ii) Elastic potential energy

Answer 21.
1.
| Thrust | Pressure |
| • The net force acting on an object in a particular direction is called thrust. | • The net force acting per unit area of an object is called pressure. |
| • Its S.I. unit is Newton. | • Its S.I. unit is Pascal. |
2. The object float or sink in water depending up on their densities. If an object has less density than water then upward thrust on the object is greater than the weight of the object and hence it floats.
On the contrary if the density of object is more than water, then upward thrust experienced by the object is smaller than its weight and so it sinks in water.
3. Buoyancy is the upward force on an object produced by the surrounding liquid or gas (fluid) in which it is fully or partially immersed.
OR
1. Let there be an object of mass, m kept at (or raised through) a height, h above the ground. Now, the minimum force acting on the object at a height, h above the ground is equal to the weight, w of the object.
∵ W= mg ……(i)
Now, work done on the object to raise it (or keep it) at a height, h above the ground is equal to the potential energy (P.E.) of the object, v Work done = Force × Displacement
= mg × h [Using Equation (i)]
= mgh
∴ P.E. (or Ep) = mgh
2. Work is said to be done if force is applied on an object and it shows some displacement.
3. Mass of object, m = 15 kg, Displacement, s = 1.5 m
Work done, W = F × s = mg × s
1.5 × 10 × 1.5 = 225 J
SECTION-B
Answer 22.
The best possible answer is option (c) as it can read the least weight with minimum range.
Answer 23.
The angle of incidence = Angle of reflection
Hence, \(\frac { 54 }{ 2 }\) = 27
Answer 24.
- The area of the surface.
- The temperature of the surface.
- The nature of the material of the surface.
Answer 25.
The initial root that comes out of the germinating seed is tap root, it dies out and is replaced by adventitious roots on maturation.
Answer 26.
Blood and bones
Answer 27.
Adulterants make the food to look attractive and colourful but it also makes the food toxic and dangerous for consumption.
We hope the CBSE Sample Papers for Class 9 Science Paper 1 help you. If you have any query regarding CBSE Sample Papers for Class 9 Science Paper 1, drop a comment below and we will get back to you at the earliest.