How to find the Areas of an Isosceles Triangle and an Equilateral Triangle?
Area of a triangle
You can also use Equilatoral Triangle Calculator to find the area and perimeter.

Area of a right triangle

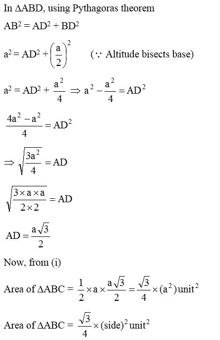
Area of an equilateral triangle


Area of isosceles triangle

Areas of an Isosceles Triangle and an Equilateral Triangle Problems with Solutions
1. Find the area of the following triangles :

Solution:
(i) Base = 6 cm and height = 5 cm.
∴ Area of the triangle = ½ × base × height
= ½ × 6 cm × 5 cm = 3 cm × 5 cm
= 15 sq cm.
(ii) Base = 3.2 cm and height = 2 cm.
Therefore, area = ½ × base × height
= ½ × 3.2 × 2 = 3.2 cm × 1 cm = 3.2 sq cm
(iii) Base = 6 cm and height = 7.4 cm.
Therefore, area = ½ × base × height
= ½ × 6 cm × 7.4 cm = 3 cm × 7.4 cm
= 22.2 sq cm.
(iv) Base = 10 cm and height = 7.5 cm.
∴ Area of the triangle = ½ × base × height
= ½ × 10 cm × 7.5 cm = 5 cm × 7.5 cm
= 37.5 sq cm.
2. Find the height of a triangle whose base is 60 cm in figure and whose area is 600 sq cm.

Solution:
