• ICSE Solutions
    • ICSE Solutions for Class 10
    • ICSE Solutions for Class 9
    • ICSE Solutions for Class 8
    • ICSE Solutions for Class 7
    • ICSE Solutions for Class 6
  • Selina Solutions
  • ML Aggarwal Solutions
  • ISC & ICSE Papers
    • ICSE Previous Year Question Papers Class 10
    • ISC Previous Year Question Papers
    • ICSE Specimen Paper 2021-2022 Class 10 Solved
    • ICSE Specimen Papers 2020 for Class 9
    • ISC Specimen Papers 2020 for Class 12
    • ISC Specimen Papers 2020 for Class 11
    • ICSE Time Table 2020 Class 10
    • ISC Time Table 2020 Class 12
  • Maths
    • Merit Batch

A Plus Topper

Improve your Grades

  • CBSE Sample Papers
  • HSSLive
    • HSSLive Plus Two
    • HSSLive Plus One
    • Kerala SSLC
  • Exams
  • Syllabus
    • B.E Mechanical Engineering Syllabus
    • B.E CIVIL Engineering Syllabus
    • B.E Electrical and Electronics Engineering Syllabus
    • B.E Computer Science and Engineering Syllabus
  • Textbook Answers
  • Chemistry
  • Physics
  • ICSE Books

Algebraic Expressions RS Aggarwal Class 7 Maths Solutions CCE Test Paper

October 21, 2024 by Phani

  1. Class 7

Algebraic Expressions RS Aggarwal Class 7 Maths Solutions CCE Test Paper

Algebraic Expressions RS Aggarwal Class 7 Maths Solutions CCE Test Paper

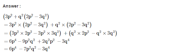
Q1
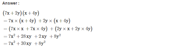
Algebraic Expressions RS Aggarwal Class 7 Maths Solutions CCE Test Paper
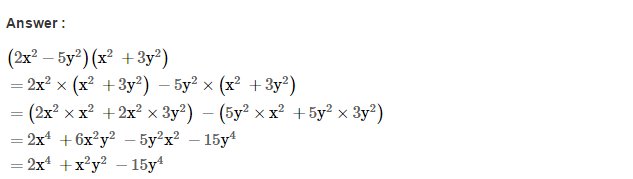
Q2
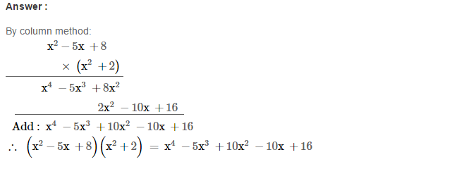
Algebraic Expressions RS Aggarwal Class 7 Maths Solutions CCE Test Paper
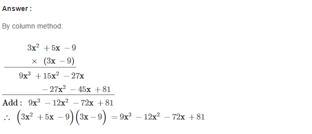
Q3
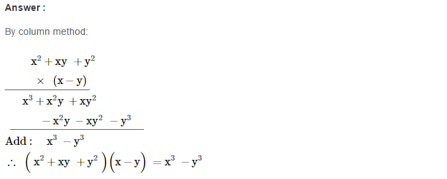
Algebraic Expressions RS Aggarwal Class 7 Maths Solutions CCE Test Paper
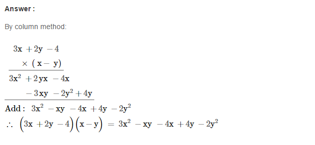
Q4
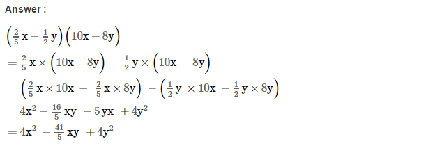
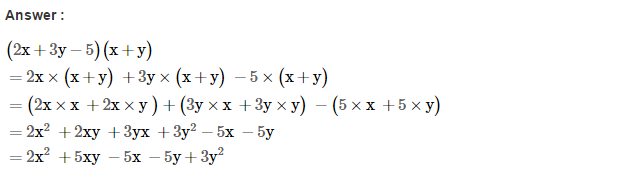
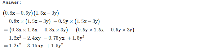
Algebraic Expressions RS Aggarwal Class 7 Maths Solutions CCE Test Paper
Q5
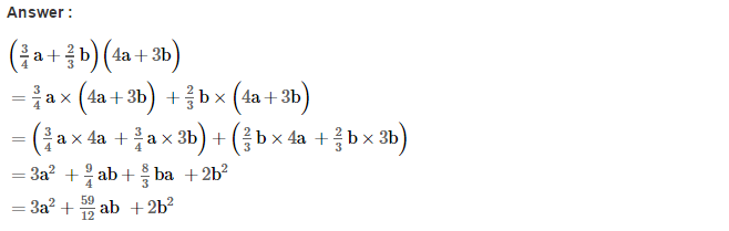
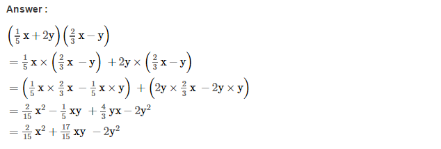
CBSE Algebraic Expressions RS Aggarwal Class 7 Maths Solutions CCE Test Paper
Q6
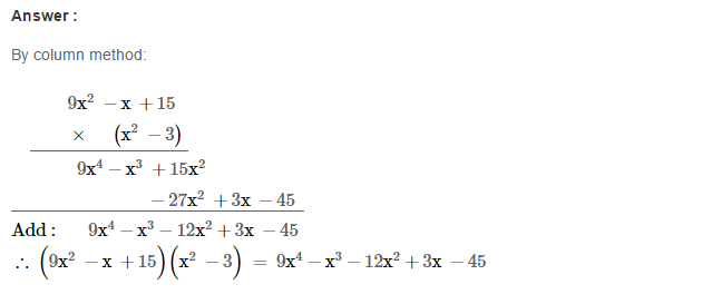
CBSE Algebraic Expressions RS Aggarwal Class 7 Maths Solutions CCE Test Paper
Q7
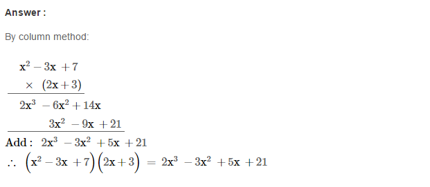
CBSE Algebraic Expressions RS Aggarwal Class 7 Maths Solutions CCE Test Paper
Q8
Algebraic Expressions CBSE RS Aggarwal Class 7 Maths Solutions CCE Test Paper
Q9
Algebraic Expressions CBSE RS Aggarwal Class 7 Maths Solutions CCE Test Paper
Q10
Algebraic Expressions CBSE RS Aggarwal Class 7 Maths Solutions CCE Test Paper
Q11
Algebraic Expressions RS Aggarwal CBSE Class 7 Maths Solutions CCE Test Paper
Q12
Algebraic Expressions RS Aggarwal CBSE Class 7 Maths Solutions CCE Test Paper
Q13
Algebraic Expressions RS Aggarwal CBSE Class 7 Maths Solutions CCE Test Paper
Q14
Algebraic Expressions RS Aggarwal Class 7 CBSE Maths Solutions CCE Test Paper
Q15
Algebraic Expressions RS Aggarwal Class 7 CBSE Maths Solutions CCE Test Paper
Q16
Algebraic Expressions RS Aggarwal Class 7 CBSE Maths Solutions CCE Test Paper
Q17
Algebraic Expressions RS Aggarwal Class 7 CBSE Maths Solutions CCE Test Paper
Q18
Algebraic Expressions RS Aggarwal Class VII Maths Solutions CCE Test Paper
Q19
Algebraic Expressions RS Aggarwal Class VII Maths Solutions CCE Test Paper
Q20
Algebraic Expressions RS Aggarwal Class VII Maths Solutions CCE Test Paper
Q21
Algebraic Expressions CBSE RS Aggarwal Class VII Maths Solutions CCE Test Paper
Q22
Algebraic Expressions RS Aggarwal CBSE Class VII Maths Solutions CCE Test Paper
Q23
Algebraic Expressions RS Aggarwal Class 7 Maths Solutions CCE Test Paper pdf
Q24
Algebraic Expressions RS Aggarwal Class 7 Maths Solutions CCE Test Paper pdf
Q25
Algebraic Expressions RS Aggarwal Class 7 Maths Solutions CCE Test Paper ebook
Q26
Algebraic Expressions RS Aggarwal Class 7 Maths Solutions CCE Test Paper ebook
Q27
CBSE Algebraic Expressions RS Aggarwal Class VII Maths Solutions CCE Test Paper
Q28
Algebraic Expressions CBSE RS Aggarwal Class VII Maths Solutions CCE Test Paper

For More Resources

  • RS Aggarwal Class 7 Solutions
  • RD Sharma Class 7 Solutions
  • NCERT Solutions
  • NCERT Solutions Class 7 Science

Algebraic Expressions RS Aggarwal Class 7 Math Solutions Exercise 2B Algebraic Expressions RS Aggarwal Class 7 Maths Solutions CCE Test Paper Algebraic Expressions RS Aggarwal Maths Solutions CBSE Class 7 RS Aggarwal Maths Solutions RS Aggars wal Algebraic Expressions Maths Class 7 Solutions RS Aggarwal CBSE Class 7 Maths Algebraic Expressions Solutions RS Aggarwal Class 7 Algebraic Expressions Solutions RS Aggarwal Class 7 Maths Solutions RS Aggarwal Math Solutions RS Aggarwal Maths Class 7 Algebraic Expressions Solutions RS Aggarwal CCE Test Papers

Primary Sidebar

Recent Articles

  • National-Scholarship-Portal
    National Scholarship Portal 2020 - Application procedure, D…
  • AS3301-Elements-of-Aerospace-Engineering-Syllabus-Regulation-2021-Anna-University
    AS3301 - Elements of Aerospace Engineering Syllabus Regulat…
  • AS3302-Flight-Systems-Syllabus-Regulation-2021-Anna-University
    AS3302 - Flight Systems Syllabus Regulation 2021 Anna Unive…
  • Southern-Utah-University-Tuition
    Southern Utah University Tuition and Financial Aid

Footer

  • Picture Dictionary
  • English Speech
  • English Slogans
  • English Letter Writing
  • English Essay Writing
  • English Textbook Answers
  • Types of Certificates
  • ICSE Solutions
  • Selina ICSE Solutions
  • ML Aggarwal Solutions
  • HSSLive Plus One
  • HSSLive Plus Two
  • Kerala SSLC
  • Distance Education
Disclaimer Privacy Policy
Area Volume Calculator